题目内容
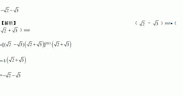
( ﹣ )2015•( + )2016=________.
多项式5mx3+25mx2-10mxy各项的公因式是( )
A.5mx2 B.5mxy C. mx D.5mx
为了解甲、乙两班英语口语水平,每班随机抽取了10名学生进行了口语测验,测验成绩满分为10分,参加测验的10名学生成绩(单位:分)称为样本数据,抽样调查过程如下:
收集数据
甲、乙两班的样本数据分别为:
甲班:6 7 9 4 6 7 6 9 6 10
乙班:7 8 9 7 5 7 8 5 9 5
整理和描述数据
规定了四个层次:9分以上(含9分)为“优秀”,8-9分(含8分)为“良好”,6-8分(含6分)为“一般”,6分以下(不含6分)为“不合格”。按以上层次分布绘制出如下的扇形统计图。
请计算:(1)图1中,“不合格”层次所占的百分比;
(2)图2中,“优秀”层次对应的圆心角的度数。
分析数据
对于甲、乙两班的样本数据,请直接回答:
(1)甲班的平均数是7,中位数是_____;乙班的平均数是_____,中位数是7;
(2)从平均数和中位数看,____班整体成绩更好。
解决问题
若甲班50人,乙班40人,通过计算,估计甲、乙两班“不合格”层次的共有多少人?
下列运算中,正确的是( )
A. B. C. D.
化简:x=﹣1,求代数式x2+3x﹣4的值.
化简: =________
要使式子 有意义,则x的取值范围是( )
A. x>2 B. x>﹣2 C. x≥2 D. x≥﹣2
如图,菱形ABCD中,AB=2,∠A=120°,点P,Q,K分别为线段BC,CD,BD上的任意一点,则PK+QK的最小值为( )
A. 1 B. C. 2 D. +1
先化简代数式,然后选取一个使原式有意义的的值代入求值.