题目内容
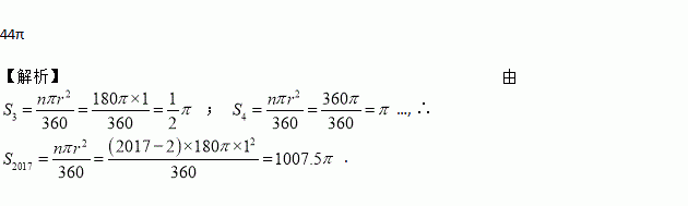
如图,依次以三角形、四边形、…、n边形的各顶点为圆心画半径为l的圆,且圆与圆之间两两不相交.把三角形与各圆重叠部分面积之和记为S3,四边形与各圆重叠部分面积之和记为S4,….n边形与各圆重叠部分面积之和记为Sn.则S90的值为_____.(结果保留π)
![]()
练习册系列答案
相关题目
九年级数学兴趣小组经过市场调查,得到某种运动服每月的销量与售价的相关信息如下表:
售价(元/件) | 100 | 110 | 120 | 130 | …… |
月销量(件) | 200 | 180 | 160 | 140 | …… |
(1)已知该运动服的进价为每件60元,设售价为x元;
请用含有x的式子表示:
①销售该运动服每件的利润是 元;
②月销售量是 件;(直接写结果)
(2)设销售该运动服的月利润为y元,那么售价为多少元时,当月的利润最大?最大利润是多少?