题目内容

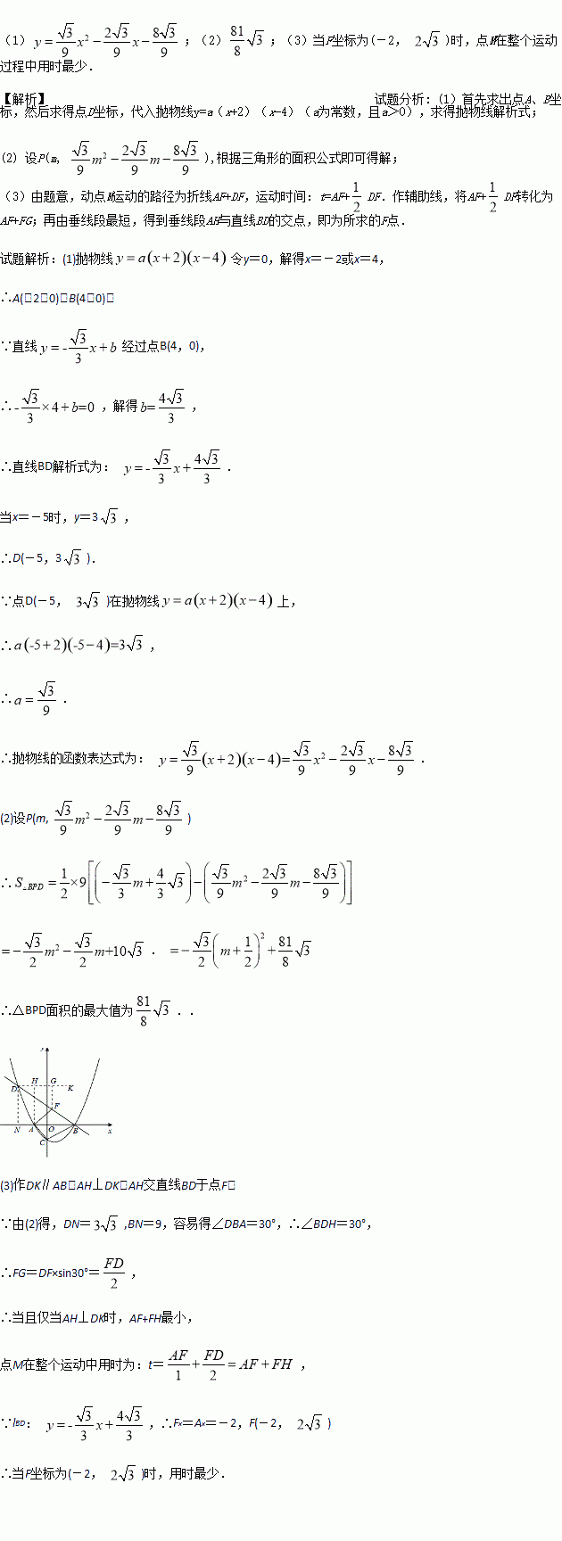
如图,已知抛物线 (a为常数,且a>0)与x轴从左至右依次交于A,B两点,与y轴交于点C,经过点B的直线与抛物线的另一交点为D,且点D的横坐标为﹣5.

(1)求抛物线的函数表达式;

(2)P为直线BD下方的抛物线上的一点,连接PD、PB, 求△PBD面积的最大值.

(3)设F为线段BD上一点(不含端点),连接AF,一动点M从点A出发,沿线段AF以每秒1个单位的速度运动到F,再沿线段FD以每秒2个单位的速度运动到D后停止,当点F的坐标是多少时,点M在整个运动过程中用时最少?

练习册系列答案
相关题目

违法和不良信息举报电话:027-86699610 举报邮箱:58377363@163.com

精英家教网