题目内容
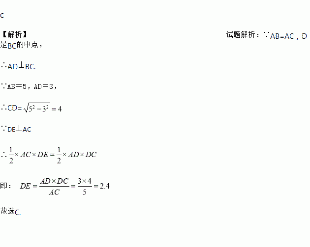
如图,△ABC中,AB=AC,D为BC的中点,DE⊥AC于点E,已知AB=5,AD=3,则DE的长为( )
A. 1.2 B. 2 C. 2.4 D. 4.8
下面的每组图形中,左面的平移后可以得到右面的是( )
A. B. C. D.
如图,Rt△OAB的顶点A(﹣2,4)在抛物线y=ax2上,将Rt△OAB绕点O顺时针旋转90°,得到△OCD,边CD与该抛物线交于点P,则点P的坐标为_____.
如图是一个供滑板爱好者使用的U型池,该U型池可以看作是一个长方体去掉一个“半圆柱”而成,中间可供滑行部分的截面是半径为4 m的半圆,其边缘AB=CD=20 m,点E在CD上,CE=4 m,一滑行爱好者从A点滑到E点,则他滑行的最短距离是多少?(边缘部分的厚度可以忽略不计,π取3)
数据1,3,5,12,a,其中整数a是这组数据的中位数,则该组数据的平均数是____.
已知等腰三角形的周长是10,底边长y是腰长x的函数,则下列图象中,能正确反映y与x之间函数关系的图象是( )
A. B. C. D
如图所示,
(1)∠AED和∠ABC可看成是直线__________、__________被直线__________所截得的__________角;
(2)∠EDB和∠DBC可看成是直线__________、__________被直线__________所截得的__________角;
(3)∠EDC和∠C可看成是直线__________、__________被直线__________所截得的__________角.
下列计算结果正确的是( )
A. 2a3+a3=3a6 B. (﹣a)2•a3=﹣a6 C. (﹣)﹣2=4 D. (﹣2)0=﹣1
如图,△ABC中,∠A=40°,∠B=72°,CE平分∠ACB,CD⊥AB于D,DF⊥CE,则∠CDF=__度.