题目内容
如图所示,AB是⊙O的直径,弦AC,BD相交于E,则A.tan∠AED
B.cot∠AED
C.sin∠AED
D.cos∠AED
【答案】分析:由圆周角定理得出的相等角,易证得△CDE∽△BAE,则CD:AB=DE:AE;
连接AD,根据圆周角定理可知:∠ADB=90°.
在Rt△ADE中,cos∠AED=
,由此得解.
解答:
解:连接AD,则∠ADB=90°.
∵∠D=∠A,∠C=∠B,(圆周角定理)
∴△CDE∽△BAE.
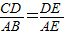
∴
.
在Rt△ADE中,cos∠AED=
=
.
故选D.
点评:本题主要考查圆周角定理、相似三角形的判定和性质、锐角三角函数的定义等知识.
连接AD,根据圆周角定理可知:∠ADB=90°.
在Rt△ADE中,cos∠AED=
解答:
∵∠D=∠A,∠C=∠B,(圆周角定理)
∴△CDE∽△BAE.
∴
在Rt△ADE中,cos∠AED=
故选D.
点评:本题主要考查圆周角定理、相似三角形的判定和性质、锐角三角函数的定义等知识.
练习册系列答案
相关题目