题目内容
如图,在Rt△ABC中,∠A=90°,AC=6cm,AB=8cm,把AB边翻折,使AB边落在BC边上,点A落在点E处,折痕为BD,则sin∠DBE的值为( )A.
B.
C.
D.
【答案】分析:解:根据折叠的性质,利用三角形的面积求出AD的长,再利用勾股定理即可求出BD的长,问题也就解决了.
解答:解:根据折叠的含义可以知道:△ABD≌△EBD,则AD=DE=x,
在直角△ABC中利用勾股定理解得:BC=10,S△ABC=SABD+S△BCD,
即:
AB•AD+
BC•DE=
AB•AC则8x+10x=48,
解得:x=
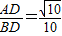
.
在直角△ABD中,BD=
=
=
,
因而:sin∠DBE=sin∠ABD=
.
故选D.
点评:已知折叠问题就是已知图形的全等,并且三角函数值只与角的大小有关,因而求一个角的函数值,可以转化为求与它相等的其它角的三角函数值.
解答:解:根据折叠的含义可以知道:△ABD≌△EBD,则AD=DE=x,
在直角△ABC中利用勾股定理解得:BC=10,S△ABC=SABD+S△BCD,
即:
解得:x=
在直角△ABD中,BD=
因而:sin∠DBE=sin∠ABD=
故选D.
点评:已知折叠问题就是已知图形的全等,并且三角函数值只与角的大小有关,因而求一个角的函数值,可以转化为求与它相等的其它角的三角函数值.
练习册系列答案
相关题目