题目内容
有一圆柱形油罐,如图所示,要从A点环绕油罐建梯子到B点,正好B点在A点的正上方,已知油罐的底面圆的半径为2cm,高AB为5m,问:所建梯子最短需多少米?(π取3)
如图,把三角形纸片折叠,使点、点都与点重合,折痕分别为,,得到,若厘米,则的边的长为____________厘米.
下面图案中是轴对称图形的有................................... ( )
A. 1个 B. 2个 C. 3个 D. 4个
下列式子正确的是( )
①;②;③;④;⑤的平方根是?4
A. 0个 B. 1个 C. 2个 D. 3个
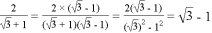
在进行二次根式的化简时,我们有时会碰到如 , , 这样的式子,其实我们还可以将其进一步化简:
= ;(一);
(二).
(三)以上这种化简的步骤叫做分母有理化.
还可以用以下方法化简:
.
(四)(1)请用不同的方法化简 .
①参照(三)式得 = ________________________________;
②参照(四)式得 =________________________________;
(2)化简: .
第三象限内的点p(x,y),满足,则点的坐标是_____________。
如图所示,在ΔABC中,AB=AC=10,AD⊥BC于点D,若AD=6,则ΔABC的周长是 ( )
A. 36 B. 40 C. 38 D. 32
若,则____________.
四边形ABCD中,点E在边AB上,连结DE,CE.
(1)若∠A=∠B=∠DEC=50°,找出图中的相似三角形,并说明理由;
(2)若四边形ABCD为矩形,AB=5,BC=2,且图中的三个三角形都相似,求AE的长.
(3)若∠A=∠B=90°,AD<BC,图中的三个三角形都相似,请判断AE和BE的数量关系并说明理由.