题目内容
如图:已知等边△ABC中,D是AC的中点,E是BC延长线上的一点,且CE=CD,DM⊥BC,垂足为M,求证:M是BE的中点.
计算;
.
下列几何体中,主视图、左视图、俯视图完全相同的是( )
A. 圆锥 B. 六棱柱 C. 球 D. 四棱锥
关于的一次函数的图象可能是( )
A.
B.
C.
D.
点P(2,﹣3)关于y轴的对称点的坐标是( )
A. (2,3) B. (﹣2,﹣3) C. (﹣2,3) D. (﹣3,2)
如图,在方格纸中,以AB为一边作△ABP,使之与△ABC全等,从P1,P2,P3,P4四个点中找出符合条件的点P,则点P有( )
A. 1个 B. 2个 C. 3个 D. 4个
如图,在△ABC中,AB=AD=DC,∠B=70°,则∠C的度数为( )
A. 35° B. 40° C. 45° D. 50°
把等腰△ABC沿底边BC翻折,得到△DBC,那么四边形ABDC( )
A.是中心对称图形,不是轴对称图形
B.是轴对称图形,不是中心对称图形
C.既是中心对称图形,又是轴对称图形
D.以上都不正确
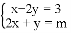
已知关于x,y的方程组 的解满足不等式x +y≤3, 求m的取值范围.