题目内容
如图,在△ABC中,∠ACB=90°,CD是AB边上的中线,CE⊥AB于E,AC=8,BC=6,则DE=_____.
下列函数中,自变量x的取值范围为的是
A. B. C. D.
如图,△ABC的顶点都在正方形网格格点上,点A的坐标(-1,4),将△ABC沿y轴翻折到第一象限,则点C的对应点C′的坐标是( )
A. (3,1) B. (-3,-1) C. (1,-3) D. (3,-1)
解不等式:6x-1≤5
探索与应用.先填写下表,通过观察后再回答问题:
(1)表格中x= ;y= ;
(2)从表格中探究a与数位的规律,并利用这个规律解决下面两个问题:
①已知≈3.16,则≈ ;②已知=1.8,若=180,则a= ;
(3)拓展:已知,若,则z= 。
小明体重为48.96 kg,这个数精确到十分位的近似值为_______ kg
如图,在△ABC中,AB=AC,BD=CD,∠BAD=20°,DE⊥AC于E.则∠EDC的大小是( )
A. 20° B. 30° C. 40° D. 50°
若点P(a,4-a)是第一象限的点,则a的取值范围是_____________.
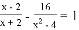
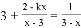
解方程及化简分式:
(1) ;
(2);
(3)化简:;
(4)若分式方程;无解,求k的值.