题目内容
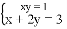
计算:![]()
练习册系列答案
相关题目
学习全等三角形时,数学兴趣小组设计并组织了“生活中的全等”的比赛,全班同学的比赛结果统计如下表:
得分(分) | 60 | 70 | 80 | 90 | 100 |
人数(人) | 7 | 12 | 10 | 8 | 3 |
则得分的众数和中位数分别为( )
A. 70分,70分 B. 80分,80分 C. 70分,80分 D. 80分,70分
题目内容
计算:![]()
学习全等三角形时,数学兴趣小组设计并组织了“生活中的全等”的比赛,全班同学的比赛结果统计如下表:
得分(分) | 60 | 70 | 80 | 90 | 100 |
人数(人) | 7 | 12 | 10 | 8 | 3 |
则得分的众数和中位数分别为( )
A. 70分,70分 B. 80分,80分 C. 70分,80分 D. 80分,70分