题目内容

如图,在平面直角坐标系中,点A的坐标为(m,m),点B的坐标为(n,﹣n),抛物线经过A、O、B三点,连接OA、OB、AB,线段AB交y轴于点C.已知实数m、n(m<n)分别是方程x2﹣2x﹣3=0的两根.
(1)求抛物线的解析式;
(2)若点P为线段OB上的一个动点(不与点O、B重合),直线PC与抛物线交于D、E两点(点D在y轴右侧),连接OD、BD.
①当△OPC为等腰三角形时,求点P的坐标;
②求△BOD 面积的最大值,并写出此时点D的坐标.

解:(1)解方程x2﹣2x﹣3=0,得 x1=3,x2=﹣1。
∵m<n,∴m=﹣1,n=3。∴A(﹣1,﹣1),B(3,﹣3)。
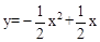
∵抛物线过原点,设抛物线的解析式为y=ax2+bx。
,解得:
∴抛物线的解析式为
(2)①设直线AB的解析式为y=kx+b。
,解得:
∴直线AB的解析式为
∴C点坐标为(0,)。
∵直线OB过点O(0,0),B(3,﹣3),∴直线OB的解析式为y=﹣x。
∵△OPC为等腰三角形,∴OC=OP或OP=PC或OC=PC。
设P(x,﹣x)。
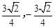
(i)当OC=OP时,,解得(舍去)。
∴P1)。
(ii)当OP=PC时,点P在线段OC的中垂线上,∴P2)。
(iii)当OC=PC时,由,解得(舍去)。
∴P3)。
综上所述,P点坐标为P1)或P2)或P3)。
②过点D作DG⊥x轴,垂足为G,交OB于Q,过B作BH⊥x轴,垂足为H.

设Q(x,﹣x),D(x,).
S△BOD=S△ODQ+S△BDQ=DQ•OG+DQ•GH
=DQ(OG+GH)
=
=
∵0<x<3,∴当时,S取得最大值为,此时D()。

解析

练习册系列答案
相关题目

违法和不良信息举报电话:027-86699610 举报邮箱:58377363@163.com

精英家教网