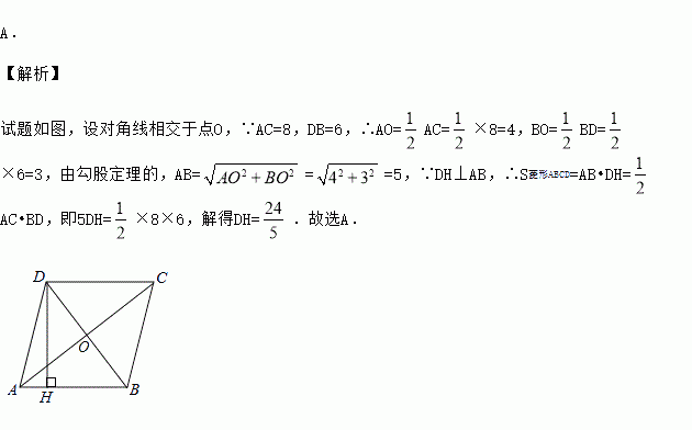
题目内容
(4分)如图,四边形ABCD是菱形,AC=8,DB=6,DH⊥AB于H,则DH=( )
A. B. C.12 D.24
方程=0的解为
A. x=3 B. x=4 C. x=5 D. x=-5
已知关于的一元二次方程.
(1)求证:该方程有两个实数根;
(2)若该方程的两个实数根、满足,求的值.
下列图形中,既是轴对称图形又是中心对称图形的是( )
A. B. C. D.
关于x的不等式组有四个整数解,则a的取值范围是________________.
如图,在ABCD中,对角线AC与BD相交于点O,过点O作EF⊥AC交BC于点E,交AD于点F,连接AE、CF.则四边形AECF是
A.梯形 B.矩形 C.菱形 D.正方形
如图,在四边形ABCD中,对角线AC,BD相交于点E,∠CBD=90°,BC=4,BE=ED=3,AC=10,则四边形ABCD的面积为( )
A. 6 B. 12 C. 20 D. 24
下列方程是一元二次方程的是( )
A. 9x+2=0 B. z2+x=1 C. 3x2-8=0 D. +x2=0
如图,把一张长方形纸条ABCD沿AF折叠.已知∠ADB=25°,AE∥BD,则∠BAF=___________.