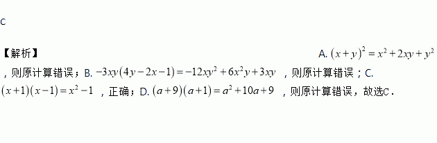
题目内容
下列计算正确的是( )
A. B.
C. D.
已知、为两个连续的整数,且,则__________.
在同一平面内,如果a⊥b,b⊥c,则a_________c,因为____________________________.
如图,分别用火柴棍连续搭建正三角形和正六边形,公共边只用一根火柴棍.如果搭建正三角形和正六边形共用了2016根火柴棍,并且正三角形的个数比正六边形的个数多6个,那么能连续搭建正三角形的个数是__________
如图,点D是△ABC的边BC上任意一点,点E、F分别是线段AD、CE的中点,则△ABC的面积等于△BEF的面积的( )
A. 2倍 B. 3倍 C. 4倍 D. 5倍
一张宽为6cm的平行四边形纸带ABCD如图1所示,AB=10cm,小明用这张纸带将底面周长为10cm直三棱柱纸盒的侧面进行包贴(要求包贴时没有重叠部分). 小明通过操作后发现此类包贴问题可将直三棱柱的侧面展开进行分析.
(1)若纸带在侧面缠绕三圈,正好将这个直三棱柱纸盒的侧面全部包贴满.则纸带AD的长度为____ cm;
(2)若AD=100cm,纸带在侧面缠绕多圈,正好将这个直三棱柱纸盒的侧面全部包贴满.则这个直三棱柱纸盒的高度是_____cm.
图(1)是一个小正方形体的表面展开图,小正方体从图(2)所示的位置依次翻到第1格、第2格、第3格、第4格,这时小正方体朝上一面的字是________
如图,是某种几何体表面展开图的图形.这个几何体是
A.圆锥 B.球 C.圆柱 D.棱柱
如图,以AB为直径,点O为圆心的半圆经过点C,若AC=BC=,则图中阴影部分的面积是___________