题目内容
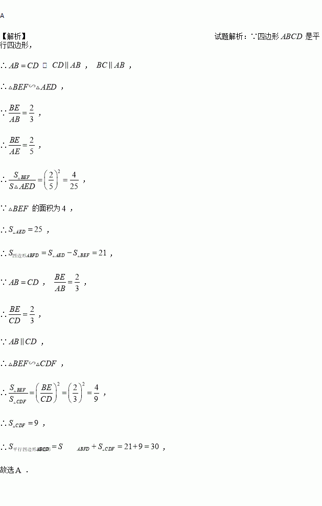
如图, 为平行四边形的边延长线上的一点,且, 的面积为,则平行四边形的面积为( ).
A. B. C. D.
若方程x2+ax-2a=0的一根为1,则a的取值和方程的另一根分别是( )
A. 1,-2 B. -1,2 C. 1,2 D. -1,-2
2016年某市有640000初中毕业生.数640000用科学计数法表示为_____.
周末,小凯和同学带着皮尺,去测量杨大爷家露台遮阳蓬的宽度.如图,由于无法直接测量,小凯便在楼前地面上选择了一条直线,通过在直线上选点观测,发现当他位于点时,他的视线从点通过露台点正好落在遮阳蓬点处;当他位于点时,视线从点通过点正好落在遮阳蓬点处,这样观测到的两个点、间的距离即为遮阳蓬的宽.已知,点在上, 、、、均垂直于, ,露台的宽,测得米, 米, 米.请你根据以上信息,求出遮阳蓬的宽是多少米?(结果精确到米).
如图,直线与轴、轴交于、两点,与双曲线交于点,若,则的面积为__________.
根据某网站公布的实时数据,截至年月日时,某网购商城“双全球狂欢节”总交易额约亿元,把这个数据用科学记数法表示为( ).
A. 元 B. 元 C. 元 D. 元
已知线段、,用尺规作一条线段,使得.不写作法,保留作图痕迹
的相反数是( ).
如图,菱形ABCD中,∠A=60°,BD=6,则菱形ABCD的周长为_____.