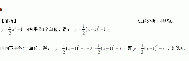
题目内容
把抛物线先向右平移1个单位,再向下平移2个单位,得到的抛物线的解析式为( )
A. B. C. D.
抛物线y=ax2+bx+c交x轴于A、B两点,交y轴于点C,已知抛物线的对称轴为x=1,B(3,0),C(0,-3),
(1)求二次函数y=ax2+bx+c的解析式;
(2)在抛物线对称轴上是否存在一点P,使点P到B、C两点距离之差最大?若存在,求出P点坐标;若不存在,请说明理由;
(3)平行于x轴的一条直线交抛物线于M,N两点,若以MN为直径的圆恰好与x轴相切,求此圆的半径.
世界上最小的开花结果植物是澳大利亚的出水浮萍,这种植物的果实像一个微小的无花果,质量只有0.000000076克,用科学记数法表示是_____克.
如图所示,有一条等宽的小路穿过长方形的草地ABCD,若AB=60m,BC=84m,AE=100m,则这条小路的面积是多少?
如图所示,DE为△ABC的中位线,点F在DE上,且∠AFB=90°,若AB=5,BC=8,则EF的长为_____.
如图梯形ABCD中,AB//CD,CE平分∠BCD且CE⊥AD,若DE=2AE,S△DCE=8,则梯形ABCD的面积为( )
A. 16 B. 15 C. 14 D. 12
某校260名学生参加植树活动,要求每人植4﹣7棵,活动结束后随机抽查了20名学生每人的植树量,并分为四种类型,A:4棵;B:5棵;C:6棵;D:7棵,将这四类的人数绘制成扇形图(如图1)和条形图(如图2).
经确认扇形图是正确的,而条形图尚有一处错误.
回答下列问题:
(1)写出条形图中存在的错误为________;
(2)写出这20名学生每人植树量的众数为________;中位数为________;
(3)经计算这20名学生每人植树量的平均数为5.3,则估算这260名学生共植树________棵;
(4)在这次活动中,九(1)班学生平均每人植6棵树,如果单独由男同学完成,每人应植树15棵,求如果单独由女同学完成,每人应植树多少棵?
下列事件中,是确定事件的是( )
A. 三条线段围成一个三角形 B. 1小时等于60分钟
C. 度量三角形的内角和结果为360° D. 数轴上一点表示有理数
函数y=的自变量x的取值范围是_____.