题目内容
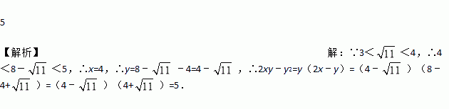
x,y分别为8-的整数部分和小数部分,则2xy-y2=____________.
先化解,再求值:,其中a=-1.
通过类比联想、引申拓展研究典型题目,可达到解一题知一类的目的.下面是一个案例,请补充完整.
原题:如图1,点E、F分别在正方形ABCD的边BC、CD上,∠EAF=45°,
连接EF,则EF=BE+DF,试说明理由.
(1)思路梳理
∵AB=AD
∴把△ABE绕点A逆时针旋转90°至△ADG,可使AB与AD重合
∵∠ADC=∠B=90°
∴∠FDG=180°
∴点F、D、G共线
根据 ,易证△AFG≌ ,进而得EF=BE+DF.
(2)联想拓展
如图2,在△ABC中,∠BAC=90°,AB=AC,点D、E均在边BC上,且∠DAE=45°.猜想BD、DE、EC应满足的数量关系,并写出推理过程.
下列各式计算正确的是( )
A. B. C. D.
若x,y为实数,且,求的值.
化简:=_____.
下列二次根式中,最简二次根式是( )
下列各式变形中,不正确的是( )
A. x4•x3=x7 B. =|x| C. (x2﹣)÷x=x﹣1 D. x2﹣x+1=(x﹣)2+
如图,△ABC中,AB=AC=,cosC=.
(1)动手操作:利用尺规作以AC为直径的⊙O,并标出⊙O与AB的交点D,与BC的交点E(保留作图痕迹,不写作法);
(2)综合应用:在你所作的图中,
①求证:弧DE=弧CE ;②求点D到BC的距离.