题目内容
如图,在?ABCD中,∠ABD的平分线BE交AD于点E,∠CDB的平分线DF交BC于点F.
(1)求证:△ABE≌△CDF;
(2)若AB=DB,求证:四边形DFBE是矩形.
已知a,b满足|a﹣|++(c﹣4)2=0.
(1)求a,b,c的值;
(2)判断以a,b,c为边能否构成三角形?若能构成三角形,此三角形是什么形状?并求出三角形的面积;若不能,请说明理由.
下列计算正确的是( )
A. B.
C. D.
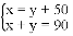
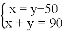
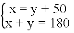
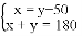
一副三角板按如图摆放,且∠1的度数比∠2的度数大50°,若设∠1=x°,∠2=y°,则可得到的方程组为( )
如图,在Rt△ABC中,∠A=90°,点D,E分别在AC,BC上,且CD·BC=AC·CE,以E为圆心,DE长为半径作圆,⊙E经过点B,与AB,BC分别交于点F,G.
(1)求证:AC是⊙E的切线;
(2)若AF=4,CG=5,
①求⊙E的半径;
②若Rt△ABC的内切圆圆心为I,则IE= .
如图,矩形的顶点在坐标原点,顶点、分别在、轴的正半轴上,顶点在反比例函数(为常数,,)的图象上,将矩形绕点按逆时针方向旋转得到矩形,若点的对应点恰好落在此反比例函数图象上,则的值是__________.
已知一组数据2,6,5,2,4,则这组数据的中位数是__________.
解不等式组,并把它的解集在数轴上表示出来.
△ABC在如图所示的平面直角中, 将其平移后得△, 若B的对应点的坐标是(-2, 2).
(1) 在图中画出△;
(2) 此次平移可看作将△ABC向_____平移了____个单位长度, 再向___平移了___个单位长度得△;
(3) △ABC的面积为____________.(△ABC的面积可以看作一个长方形的面积减去一些小三角形的面积)