题目内容

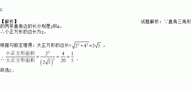
“赵爽弦图”是四个全等的直角三角形与中间一个小正方形拼成的大正方形,如图,其直角三角形的两条直角边的长分别是2和4,则小正方形与大正方形的面积比是(  )

A. 1:2    B. 1:4  C. 1:5   D. 1:10

C 【解析】试题解析:∵直角三角形的两条直角边的长分别是2和4, ∴小正方形的边长为2, 根据勾股定理得:大正方形的边长=, ∴. 故选C. 复制答案 考点分析: 相关试题推荐

如图,在△ABC中,CD是AB边上的高,BE平分∠ABC,交CD于点E,若BC=18,DE=8,则△BCE的面积等于(   )

A. 36 B. 54 C. 63 D. 72

查看答案

如图,在△ABC中,∠B=∠C,AD为△ABC的中线,那么下列结论错误的是(  )

A. △ABD≌△ACD  B. AD为△ABC的高线 C. AD为△ABC的角平分线  D. △ABC是等边三角形

查看答案

下列命题中是真命题的是(  )

A. 确定性事件发生的概率为1;

B. 平分弦的直径垂直于弦;

C. 正n边形都是轴对称图形,并且有n条对称轴;

D. 两边及其一边的对角对应相等的两个三角形全等。

查看答案

用a、b、c作三角形的三边,其中不能构成直角三角形的是(  )

A. a2=(b+c)(b﹣c) B. a:b:c=1: :2

C. a=32,b=42,c=52 D. a=5,b=12,c=13

查看答案

如图,在下列三角形中,若AB=AC,则能被一条直线分成两个小等腰三角形的是(   )

A. (1)(2)(3) B. (1)(3)(4) C. (2)(3)(4) D. (1)(2)(4)

查看答案 试题属性
  • 题型:单选题
  • 难度:中等

Copyright @ 2008-2013 满分5 学习网 ManFen5.COM. All Rights Reserved.答案无忧
练习册系列答案
相关题目

若把分式中的x和y都扩大3倍,那么分式的值(  )

A. 扩大3倍 B. 不变 C. 缩小3倍 D. 缩小6倍

C 【解析】试题解析:将3x、3y代入原式,则原式=,所以缩小到原来的, 故选C.
复制答案 考点分析: 相关试题推荐

与分式相等的是( )

A. B. C. D.

查看答案

任意给定一个非零数,按下列程序计算,最后输出的结果是(  )

A. m B. m-2 C. m+1 D. m2+1

查看答案

下列运算正确的是(  )

A. m2(mn-3n+1)=m3n-3m2n B. (-3ab2)2=-9a2b4

C. (-a+b)(-a-b)=b2-a2 D. 3x2y÷xy=3x

查看答案

计算(ab2)3的结果,正确的是( )

A. a3b6 B. a3b5 C. ab6 D. ab5

查看答案

如图,矩形OABC的顶点A,B的坐标分别为(4,0),(4,3),动点M,N分别从O,B同时出发.以每秒1个单位的速度运动.其中,点M沿OA向终点A运动,点N沿BC向终点C运动.过点M作MP⊥OA,交AC于P,连接NP,已知动点运动了秒.

(1)当时,求PC的长;

(2)当为何值时,△NPC是以PC为腰的等腰三角形?

查看答案 试题属性
  • 题型:单选题
  • 难度:中等

Copyright @ 2008-2013 满分5 学习网 ManFen5.COM. All Rights Reserved.答案无忧

若抛物线y=x2-2x-3与x轴分别交于A,B两点,则AB的长为 ______.

4 【解析】先求出二次函数与x轴的2个交点坐标,然后再求出2点之间的距离. 【解析】 二次函数y=x2-2x-3与x轴交点A、B的横坐标为一元二次方程x2-2x-3=0的两个根,求得x1=-1,x2=3,则AB=|x2-x1|=4.
复制答案 考点分析: 相关试题推荐

直线y=x+3上有一点P(3,a),则点P关于原点的对称点为___________.

查看答案

如图,两个反比例函数的图象分别是l1和l2.设点P在l1上,PC⊥x轴,垂足为C,交l2于点A,PD⊥y轴,垂足为D,交l2于点B,则△PAB的面积为(  )

A. 3 B. 4 C. D. 5

查看答案

如图是二次函数y=ax2+bx+c的图象,下列结论: ①二次三项式ax2+bx+c的最大值为4;

②4a+2b+c<0;

③一元二次方程ax2+bx+c=1的两根之和为﹣1;

④使y≤3成立的x的取值范围是x≥0.

其中正确的个数有(   )

A. 1个 B. 2个 C. 3个 D. 4个

查看答案

某同学在用描点法画二次函数y=+bx+c的图象时,列出了下面的表格:

x
 


 

﹣2
 

﹣1
 

0
 

1
 

2
 


 

y
 


 

﹣11
 

﹣2
 

1
 

﹣2
 

﹣5
 


 

由于粗心,他算错了其中一个y值,则这个错误的数值是( ).

A.﹣11 B.﹣2 C.1 D.﹣5

查看答案

若圆锥的底面积为16πcm2,母线长为12cm,则它的侧面展开图的圆心角为( )

A. 240° B. 120° C. 180° D. 90°

查看答案 试题属性
  • 题型:填空题
  • 难度:中等

Copyright @ 2008-2013 满分5 学习网 ManFen5.COM. All Rights Reserved.答案无忧

如图,△ABC和△ABD中,∠C=∠D=Rt∠,E是BC边上的中线.请你说明CE=DE的理由.

证明见解析 【解析】试题分析:CE和DE是直角△ABC和直角△ABD斜边上的中线,根据直角三角形的性质即可证得. 试题解析:∵直角△ABC中,E是BC的中点,即CE是中线, ∴CE=AB, 同理,DE=AB, ∴CE=DE.
复制答案 考点分析: 相关试题推荐

如图,四边形ABCD中,E点在AD上,其中∠BAE=∠BCE=∠ACD=90°,且BC=CE,求证:△ABC与△DEC全等.

查看答案

如果关于x的不等式k﹣x+6>0的正整数解为1、2、3,那么k的取值范围是多少?

查看答案

解不等式组: ,并把解集在数轴上表示出来.

查看答案

点M(a,﹣5)与点N(﹣2,b)关于x轴对称,则a+b=________.

查看答案

将一副三角尺按如图所示的方式放置,使含30°角的三角尺的短直角边和含45°角的三角尺的一条直角边重合,则∠1的度数是   

查看答案 试题属性
  • 题型:解答题
  • 难度:中等

Copyright @ 2008-2013 满分5 学习网 ManFen5.COM. All Rights Reserved.答案无忧

看图填空:已知如图,AD⊥BC于D,EG⊥BC于G,∠E=∠1,

求证:AD平分∠BAC.

证明:∵AD⊥BC于D,EG⊥BC于G(  已知  )

∴∠ADC=90°,∠EGC=90°(___________)

∴∠ADC=∠EGC(等量代换)

∴AD∥EG(_____________)

∴∠1=∠2(___________)

∠E=∠3(___________)

又∵∠E=∠1( 已知)

∴∠2=∠3(___________)

∴AD平分∠BAC(___________).

垂直的定义; 同位角相等,两直线平行; 两直线平行,内错角相等; 两直线平行,同位角相等; 等量代换; 角平分线的定义 【解析】试题分析:由垂直可证明AD∥EG,由平行线的性质可得到∠1=∠2=∠3=∠E,可证得结论,据此填空即可. 证明: ∵AD⊥BC于D,EG⊥BC于G(已知), ∴∠ADC=90°,∠EGC=90°(垂直的定义), ∴∠ADC=∠EGC(等量代换...
复制答案 考点分析: 相关试题推荐

为了估计鱼塘中鱼的条数,养鱼者首先从鱼塘中打捞30条鱼做上标记,然后放归鱼塘,经过一段时间,等有标记的鱼完全混合于鱼群中,再打捞200条鱼,发现其中带标记的鱼有5条,则鱼塘中估计有________条鱼.

查看答案

一次函数y=(m2﹣4)x+(1﹣m)和y=(m﹣1)x+m2﹣3的图象与y轴分别交于点P和点Q,若点P与点Q关于x轴对称,则m=________

查看答案

如图,在△ABC中,∠BAC=90°,AB=AC,∠BAD=30°,AD=AE,则∠EDC的度数是______.

查看答案

如图,△ABC≌△DEF,A与D,B与E分别是对应顶点,∠B=60°,∠A=68°,AB=13cm,则∠F= ______度,DE= ____cm.

查看答案

“赵爽弦图”是四个全等的直角三角形与中间一个小正方形拼成的大正方形,如图,其直角三角形的两条直角边的长分别是2和4,则小正方形与大正方形的面积比是(  )

A. 1:2    B. 1:4  C. 1:5   D. 1:10

查看答案 试题属性
  • 题型:解答题
  • 难度:中等

Copyright @ 2008-2013 满分5 学习网 ManFen5.COM. All Rights Reserved.答案无忧

如图,在下列三角形中,若AB=AC,则能被一条直线分成两个小等腰三角形的是(   )

A. (1)(2)(3) B. (1)(3)(4) C. (2)(3)(4) D. (1)(2)(4)

B 【解析】①中作∠B的角平分线即可; ③过A点作BC的垂线即可; ④中以A为顶点AB为一边在三角形内部作一个72度的角即可; 只有②选项不能被一条直线分成两个小等腰三角形. 故选B.
复制答案 考点分析: 相关试题推荐

如图,PB⊥AB于B,PC⊥AC于C,且PB=PC,则△APB≌△APC的理由是(  )

A. SAS B. ASA C. HL D. AAS

查看答案

如图,在△ABC中,AB=AC=5,P是BC边上除B,C点外的任意一点,则代数式AP2+PB·PC等于 (  )

A. 25 B. 15 C. 20 D. 30

查看答案

如图,直线y=kx+b经过点A(-1,-2)和点B(-2,0),直线y=2x过点A,则不等式2x<kx+b<0的解集为(   )

A. x<-2 B. -2<x<-1 C. -2<x<0 D. -1<x<0

查看答案

若直线y=3x+6与直线y=2x+4的交点坐标为(a , b),则解为的方程组是(  )

A. B. C. D.

查看答案

如图,已知等边△ABC中,D为边AC上一点.

(1)以BD为边作等边△BDE,连接CE,求证:AD=CE;

(2)如果以BD为斜边作Rt△BDE,且∠BDE=30°,连接CE并延长,与AB的延长线交于F点,求证:AD=BF;

查看答案 试题属性
  • 题型:单选题
  • 难度:中等

Copyright @ 2008-2013 满分5 学习网 ManFen5.COM. All Rights Reserved.答案无忧

商场某种商品平均每天可销售20件,每件盈利40元.为了尽快减少库存,商场决定采取适当的降价措施.经调查发现,每件商品每降价1元,商场平均每天可多售出2件.

(1)若商场平均每天要盈利1200元,每件衬衫应降价多少元?此时,每件衬衫盈利多少元?

(2)每件衬衫降价多少元,商场平均每天盈利最多?

(1)每件衬衫应降价20元,每件衬衫盈利20元;(2)每件衬衫降价15元,商场平均每天盈利最多. 【解析】试题分析:(1)根据题意可以列出相应的方程,从而可以解答本题; (2)根据题意可以列出相应的函数关系式,将函数关系式化为顶点式即可解答本题. 试题解析:(1)设每件商品降价x元, 由题意得,(40-x)(20+2x)=1200 解得:x1=20,x2=10 ...
复制答案 考点分析: 相关试题推荐

如图,已知R t△ABC,∠ABC=90°,以直角边AB为直径作O,交斜边AC于点D,连结BD.

(1)若AB=3,BC=4,求边BD的长;

(2)取BC的中点E,连结ED,试证明ED与⊙O相切.

查看答案

某校团委为积极参与“陶行知杯.全国书法大赛”现场决赛,向学校学生征集书画作品,今年3月份举行了“书画比赛”初赛,初赛成绩评定为A,B,C,D,E五个等级.该校七年级书法班全体学生参加了学校的比赛,并将比赛结果绘制成如下两幅不完整的统计图.请根据图中信息,解答下列问题.

(1)该校七年级书法班共有 名学生;扇形统计图中C等级所对应扇形的圆心角等于 度,并补全条形统计图;

(2)A等级的4名学生中有2名男生,2名女生,现从中任意选取2名学生参加“陶行知杯.全国书法大赛”现场决赛,请你用列表法或画树状图的方法,求出恰好选到1名男生和1名女生的概率.

查看答案

如图,方格纸中的每个小方格都是边长为1个单位的正方形.Rt△ABC的顶点均在格点上,建立平面直角坐标系后,点A的坐标为(﹣4,1),点B的坐标为(﹣1,1).

(1)将Rt△ABC绕点O顺时针旋转90°后得到Rt△A′B′C′,试在图中画出图形Rt△A′B′C′,并写出C′的坐标;

(2)求弧 的长.

查看答案

解方程:(1) (2)

查看答案

如图,Rt△ABC中,∠ACB=90°,AC=3,BC=4,将△ABC绕点A逆时针旋转得到△AB′C′,AB′与BC相交于点D,当B′C′∥AB时,CD=  

查看答案 试题属性
  • 题型:解答题
  • 难度:中等

Copyright @ 2008-2013 满分5 学习网 ManFen5.COM. All Rights Reserved.答案无忧

用配方法解方程x2+6x+4=0,下列变形正确的是(  )

A. (x+3)2=﹣4 B. (x﹣3)2=4 C. (x+3)2=5 D. (x+3)2=±

C 【解析】x2+6x+4=0,移项,得x2+6x=-4,配方,得x2+6x+32=-4+32,即(x+3)2=5. 故选C.
复制答案 考点分析: 相关试题推荐

下列事件中,属于必然事件的是( )

A.二次函数的图象是抛物线

B.任意一个一元二次方程都有实数根

C.三角形的外心在三角形的外部

D.投掷一枚均匀的硬币100次,正面朝上的次数为50次

查看答案

下列图形中,既是轴对称图形又是中心对称图形的是( )

A. B. C. D.

查看答案

下列关于x的方程中,一定是一元二次方程的是(  )

A. (m﹣3)x2﹣ x﹣2 B. k2x+5k+6=0; C. x2﹣x﹣=0; D. 3x2+﹣2=0

查看答案

抛物线的顶点坐标是( )

A. (3, 1) B. (3,-1) C. (-3, 1) D. (-3, -1)

查看答案

解下列方程

(1)(x+1)2﹣9=0 

(2)(x﹣1)3=8.

查看答案 试题属性
  • 题型:单选题
  • 难度:简单

Copyright @ 2008-2013 满分5 学习网 ManFen5.COM. All Rights Reserved.答案无忧

三角形两边长分别为3和6,第三边是方程x2﹣13x+36=0的根,则三角形的周长为

13 【解析】 试题分析:利用因式分解法解方程得到x1=4,x2=9,再利用三角形三边的关系得到x=4,然后计算三角形的周长. 【解析】 (x﹣4)(x﹣9)=0, x﹣4=0或x﹣9=0, 所以x1=4,x2=9, 因为3+6=9, 所以第三边长为4, 所以三角形的周长为3+6+4=13. 故答案为13.
复制答案 考点分析: 相关试题推荐

二次函数y=ax2+bx+c(a≠0)的部分图象如图所示,图象过点(﹣1,0),对称轴为直线x=2,下列结论:(1)4a+b=0;(2)9a+c>3b;(3)8a+7b+2c>0;(4)若点A(﹣3,y1)、点B(﹣,y2)、点C(,y3)在该函数图象上,则y1<y3<y2;(5)若方程a(x+1)(x﹣5)=﹣3的两根为x1和x2,且x1<x2,则x1<﹣1<5<x2.其中正确的结论有(  )

A. 2个 B. 3个 C. 4个 D. 5个

查看答案

如图,将△ABC绕着点C按顺时针方向旋转20°,B点落在B′位置,A点落在A′位置,若AC⊥A′B′,则∠BAC的度数是( )

A. 50° B. 60° C. 70° D. 80°

查看答案

关于x的一元二次方程x2﹣6x+2k=0有两个不相等的实数根,则实数k的取值范围是(   )

A. k≤ B. k< C. k≥ D. k>

查看答案

抛物线y=﹣x2﹣x的顶点坐标是(  )

A. (1,﹣) B. (﹣1, ) C. (,﹣1) D. (1,0)

查看答案

4张扑克牌如图(1)所示放在桌子上,小敏把其中两张旋转180°后得到如图(2)所示,那么她所旋转的牌从左起是( )

A.第一张、第二张

B.第二张、第三张

C.第三张、第四张

D.第四张、第一张

查看答案 试题属性
  • 题型:填空题
  • 难度:中等

Copyright @ 2008-2013 满分5 学习网 ManFen5.COM. All Rights Reserved.答案无忧

违法和不良信息举报电话:027-86699610 举报邮箱:58377363@163.com

精英家教网