题目内容
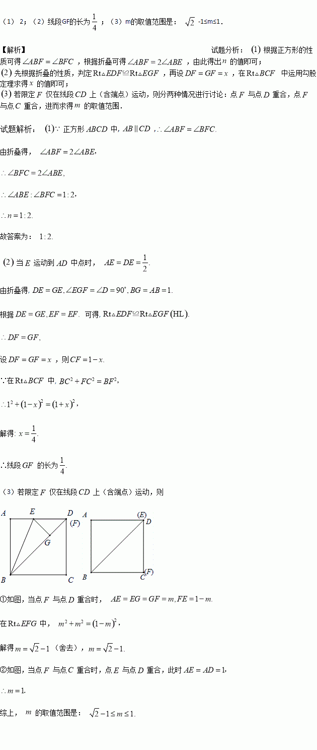
如图,正方形ABCD的边长为1,E是AD边上一动点,AE=m,将△ABE沿BE折叠后得到△GBE.延长BG交直线CD于点F.
![]()
(1)若∠ABE:∠BFC=n,则n= ______ ;
(2)当E运动到AD中点时,求线段GF的长;
(3)若限定F仅在线段CD上(含端点)运动,求m的取值范围.
练习册系列答案
相关题目
题目内容
如图,正方形ABCD的边长为1,E是AD边上一动点,AE=m,将△ABE沿BE折叠后得到△GBE.延长BG交直线CD于点F.
![]()
(1)若∠ABE:∠BFC=n,则n= ______ ;
(2)当E运动到AD中点时,求线段GF的长;
(3)若限定F仅在线段CD上(含端点)运动,求m的取值范围.