题目内容
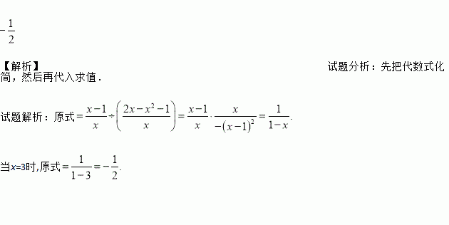
先化简,再求值: ,其中x=3.
某市在端午节准备举行划龙舟大赛,预计15个队共330人参加.已知每个队一条船,每条船上人数相等,且每条船上有1人击鼓,1人掌舵,其余的人同时划桨.设每条船上划桨的有x人,那么可列出一元一次方程为__.
解方程: .
计算﹣32的结果是( )
A. 9 B. ﹣9 C. 6 D. ﹣6
如图,CD是⊙O的直径,AB是⊙O的弦,AB⊥CD于G,OG:OC=3:5,AB=8.
(1)求⊙O的半径;
(2)点E为圆上一点,∠ECD=15º,将弧CE沿弦CE翻折,交CD于点F,求图中阴影部分的面积.
关于的方程4kx2+12x-5=0有实数根,则的取值范围是_________.
不透明的袋子中装有形状、大小、质地完全相同的6个球,其中4个黑球、2个白球,从袋子中一次摸出3个球,下列事件是不可能事件的是( )
A. 摸出的是3个白球
B. 摸出的是3个黑球
C. 摸出的是2个白球、1个黑球
D. 摸出的是2个黑球、1个白球
如图,在平面直角坐标系中,以O为圆心,适当长为半径画弧,交x轴于点M,交y轴于点N,再分别以点M、N为圆心,大于MN的长为半径画弧,两弧在第二象限交于点P.若点P的坐标为(2a,b+1),则a与b的数量关系为( )
A. a=b B. 2a+b=﹣1 C. 2a﹣b=1 D. 2a+b=1
计算:(-1)3-×[2-(-3) ] .