题目内容


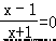
若分式 的值为零,则 x 的值为



  1                                                               

【考点】分式的值为零的条件.

【专题】计算题.

【分析】分式的值为 0 的条件是分子为 0,分母不能为 0,据此可以解答本题.

【解答】解:       ,

练习册系列答案
相关题目

违法和不良信息举报电话:027-86699610 举报邮箱:58377363@163.com

精英家教网