题目内容
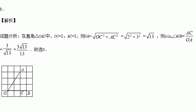
如图,将∠AOB放置在5×5的正方形网格中,则sin∠AOB的值是( )
A. B. C. D.
(本题满分10分)如图,在菱形ABCD中,F为边BC的中点,DF与对角线AC交于点M,过M作ME⊥CD于点E, ∠BAC=∠CDF.
(1)求证BC=2CE;
(2)求证AM=DF+ME.
如图,火焰的光线穿过小孔O,在竖直的屏幕上形成倒立的实像,像的长度BD=2 cm,OA=60 cm,OB=15 cm,则火焰的长度为________.
数轴上点A、B表示的数分别是5、﹣3,它们之间的距离可以表示为( )
A. ﹣3+5 B. ﹣3﹣5 C. |﹣3+5| D. |﹣3﹣5|
如图,已知锐角△ABC.
(1)过点A作BC边的垂线MN,交BC于点D(用尺规作图法,保留作图痕迹,不要求写作法);
(2)在(1)条件下,若BC=5,AD=4,tan∠BAD=,求DC的长.
如果方程x2-4x+3=0的两个根分别是Rt△ABC的两条边的长,△ABC最小的角为A,那么tanA的值为________.
如图,正方形ABCD边长为1,以AB为直径作半圆,点P是CD中点,BP与半圆交于点Q,连接DQ.给出如下结论:
①DQ=1;②=;③S△PDQ=;④cos ∠ADQ=.其中正确结论是____.(填写序号)
阅读:如图①,∵CE∥AB,∴∠1=∠A,∠2=∠B,∴∠ACD=∠1+∠2=∠A+∠B.这是一个有用的事实,请用这个事实,在图②中的四边形ABCD内引一条和边平行的直线,求出∠A+∠B+∠C+∠D的度数.
定义一种运算: =ad-bc,例如=1×0-(-2)×(-3)=-6,那么当a=-12,b=-(-2)2-1,c=-32+5,d=-,求的值.