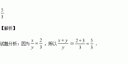
题目内容
已知,则= .
如图,已知△ABC中,AD平分∠BAC交BC于D,AE⊥BC于E,若∠ADE=80°,∠EAC=30°,求∠B的度数.
如图,△ABC中有一正方形DEFG,其中D在AC上,E、F在AB 上,直线AG分别交DE、BC于M、N两点.若∠B=90°,AB=8,BC=6,EF=2,则BN的长度为( )
A. B. C. D.
如图①,先把一矩形纸片上下对折,设折痕为;如图②,再把
点 叠在折痕线上,得到 .过点作,分别交、于点、.
(1)求证: ∽;
(2)在图②中,如果沿直线再次折叠纸片,点能否叠在直线上?请说明理由;
(3)在(2)的条件下,若,求的长度.
计算: .
如图,在△ABC中,∠C=90°,BC=6,D,E分别在AB,AC上,将△ABC沿DE折叠,使得点A落在A′处.若A'为CE的中点,则折痕DE的长为
A.1 B.2 C.3 D.4,
与是同类二次根式的是( )
小亮的体重为43.95kg,若将43.95精确到个位则为______.
如图,已知矩形ABCD的两条对角线相交于点O,过点A作AG⊥BD分别交BD、BC于点G、E.
(1)求证:BE2=EG•EA;
(2)连接CG,若BE=CE,求证:∠ECG=∠EAC.