题目内容

已知:a、b、c为实数,且多项式x3+ax2+bx+c能够被x2+3x-4整除.

(1)求4a+c的值.

(2)求2a-2b-c的值.

(3)若a、b、c为整数,且c≥a>1,试确定a、b、c的大小.

(1)  ∵ x2+3x-4=(x-1)(x+4),

∴  x-1,x+4都能整除x3+ax2+bx+c,

∵  (x-1)|x3+ax2+bx+c,

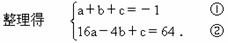
∴  1+a+b+c=0,

∵  (x+4)|x3+ax2+bx+c,

∴  -64+16a-4b+c=0,

4×①+②得   20a+5c=60,

∴       4a+c=12.    ③

将④、⑤代入2a-2b-c中,得

∴  1<a<3,由a为整数知a=2,

当a=2时,代入③得c=4,

再一起代入①,得b=-7.

练习册系列答案
相关题目

违法和不良信息举报电话:027-86699610 举报邮箱:58377363@163.com

精英家教网