题目内容
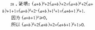
证明:无论a、b为何值时,代数式(a+b)2+2(a+b)+2的值均为正值.
若等式x2-x+k=(x-)2成立,则k的值是( )
A. B.- C. D.±
-1+0.09x2分解因式的结果是( ). A、(-1+0.3x)2 B、(0.3x+1)(0.3x-1) C、(0.09x+1)(0,09x-1) D、不能进行
x2+6x+9当x=___________时,该多项式的值最小,最小值是_____________.
已知(a+b)(a+b-8)+16=0,求2(a+b)的值.
如果多项式-abc+ab2-a2bc的一个因式是-ab,那么另一个因式是( )
A.c-b+5ac B.c+b-5ac C.c-b+ac D.c+b-ac
把4ab2-2ab+8a分解因式得________.
计算与求值
29×20.03+72×20.03+13×20.03-14×20.03.
计算:(2x + y)(2x — y)=____________;