题目内容
当a=______时,最简二次根式
与
可以合并.
【答案】6
【解析】解:由题意得:2a-1=3a-7,解得:a=6.故答案为:6.
【题型】填空题
【结束】
14
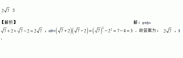
若
,
,那么a+b=______,ab=______.
练习册系列答案
相关题目
题目内容
当a=______时,最简二次根式
与
可以合并.
【答案】6
【解析】解:由题意得:2a-1=3a-7,解得:a=6.故答案为:6.
【题型】填空题
【结束】
14
若
,
,那么a+b=______,ab=______.