题目内容

如图,面积为48 cm2的正方形的四个角是面积为3 cm2的小正方形,请动手操作,将四个角剪掉,制作一个无盖的长方体盒子,求这个长方体盒子的底面边长.

【答案】

【解析】试题分析:根据算术平方根的定义求出大正方形和小正方形的边长,再根据底边边长的表示列式计算即可得解.

试题解析:解:正方形的边长==cm,剪掉小正方形的边长=cm,所以,长方体盒子的底面边长==(cm).

答:这个长方体盒子的底面边长是cm.

点睛:本题考查了二次根式的应用,主要利用了算术平方根的定义,以及二次根式的运算.

【题型】解答题
【结束】
26

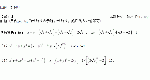
已知求(1)x2-xy+y2;(2)x3y+xy3的值.

练习册系列答案
相关题目

违法和不良信息举报电话:027-86699610 举报邮箱:58377363@163.com

精英家教网