题目内容
如图,在平面直角坐标系中,已知,![]()
,其中![]()
、![]()
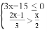
满足![]()
.
()![]()
__________.![]()
__________.![]()
()如图,已知点![]()
,![]()
坐标轴上一点,且![]()
的面积与![]()
的面积相等,求出点![]()
的坐标.![]()
![]()
()如图,作长方形![]()
,点![]()
的纵坐标为![]()
,且点![]()
在第四象限,点![]()
在![]()
上,且![]()
的面积为![]()
,![]()
的面积为![]()
,则![]()
__________.![]()
![]()
练习册系列答案
相关题目
题目内容
如图,在平面直角坐标系中,已知,![]()
,其中![]()
、![]()
满足![]()
.
()![]()
__________.![]()
__________.![]()
()如图,已知点![]()
,![]()
坐标轴上一点,且![]()
的面积与![]()
的面积相等,求出点![]()
的坐标.![]()
![]()
()如图,作长方形![]()
,点![]()
的纵坐标为![]()
,且点![]()
在第四象限,点![]()
在![]()
上,且![]()
的面积为![]()
,![]()
的面积为![]()
,则![]()
__________.![]()
![]()