题目内容
在平面直角坐标系中,点的坐标为,则点关于原点的对称点的坐标为( ).
A. B. C. D.
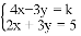
方程组的解x与y的值相等,则k的值为( )
A. 1或-1 B. 1 C. -1 D. 5或-5
边长为的菱形是由边长为的正方形“形变”得到的,若这个菱形一组对边之间的距离为,则称为为这个菱形的“形变度”.
()一个“形变度”为的菱形与其“形变”前的正方形的面积之比为__________.
()如图,、、为菱形网格(每个小菱形的边长为,“形变度”为)中的格点,则的面积为__________.
如果一个平行四边形一个内角的平分线分它的一边为1∶2的两部分,那么称这样的平行四边形为“协调平行四边形”,称该边为“协调边”。当“协调边”为3时,它的周长为_________.
如图,在中,,为斜边的中点,动点从点出发,沿运动,如图所示,设,点运动的路程为,若与之间的函数图像如图所示,则的面积为( ).
已知,中,,,点是线段的中点,连接,将绕点逆时针旋转度得到,连接,点是线段的中点,连接,.
()如图,当时,直接写出线段和之间的位置关系和数量关系.
()如图,当时,探究线段和之间的位置关系和数量关系,并给出完整的证明过程.
()如图,直接写出当在绕点逆时针旋转的过程中,线段的最大值和最小值.
如图,已知、分别是正方形的边、上的点,、分别与对角线相交于、,若,则__________.
如图,在平面直角坐标系中,已知,,其中、满足.
()__________.__________.
()如图,已知点,坐标轴上一点,且的面积与的面积相等,求出点的坐标.
()如图,作长方形,点的纵坐标为,且点在第四象限,点在上,且的面积为,的面积为,则__________.
.