题目内容
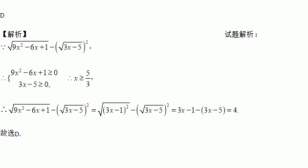
化简-()2的结果是( )
A. 6x-6
B. -6x+6
C. -4
D. 4
下图中几何体的左视图是( )
A. B. C. D.
如图,直线a、b相交于点O,∠1=50°,则∠2=________度.
(1)已知x=,y=,求的值;
(2)已知x,y是实数,且满足y<++,化简: -(x-2+)2.
如果两个最简二次根式与能合并,那么a=____.
如果a+=3成立,那么实数a的取值范围是( )
A. a≤0 B. a≤3 C. a≥-3 D. a≥3
已知:如图,平行四边形中,点在的延长线上,连接,与相交于点.
()求证: .
()若, , ,求的长.
已知,求:
(1)的值;
(2)的值;
(3)的值.
先化简,再求值: ÷,其中x满足方程x2﹣x﹣2=0.