题目内容
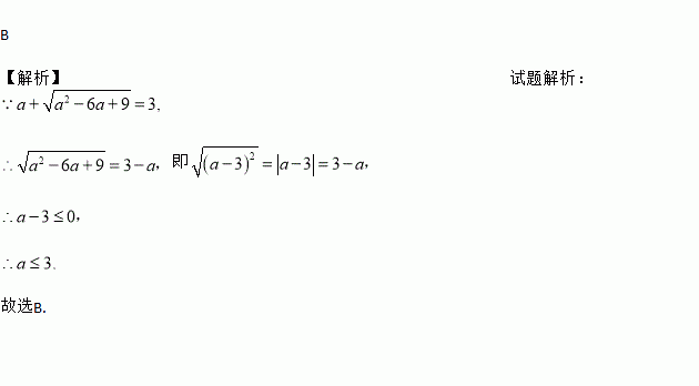
如果a+=3成立,那么实数a的取值范围是( )
A. a≤0 B. a≤3 C. a≥-3 D. a≥3
如图,将两个边长分别为a和b的正方形拼在一起,B,C,G三点在同一直线上,连接BD,BF,若两个正方形的边长满足a+b=10,ab=20,你能求出阴影部分的面积吗?
如图,下列条件中:(1)∠B+∠BCD=180°;(2)∠1=∠2;(3)∠3=∠4;(4)∠B=∠5.能判定AB∥CD的条件个数有( )
A. 1 B. 2 C. 3 D. 4
若y=++2,则xy=____.
化简-()2的结果是( )
A. 6x-6
B. -6x+6
C. -4
D. 4
已知抛物线.
()求证:此抛物线与轴必有两个不同的交点.
()若此抛物线与直线的一个交点在轴上,求的值.
如图,火焰通过纸板上的一个小孔照射到屏幕上形成倒立的实像,像的长度, , ,则火焰的长为__________.
若,则______________.
若分式方程=2的一个解是x=1,则a=______.