题目内容
等腰△ABC中,AB=AC=13,BC=10,则BC边上的高AD=_______.
等腰三角形一边长是10㎝,一边长是5㎝,则它的周长是_______㎝
在数轴上表示下列各数,并比较它们的大小.
4,-1,,0,1.5,-2.
比较大小: < < < < <
下列图形中属于棱柱的个数有( )
A. 2个 B. 3个 C. 4个 D. 5个
生活表明,靠墙摆放梯子时,若梯子底端离墙距离为梯子长度的,则梯子比较稳定.现有一长度为6米的梯子,当梯子稳定摆放时,它的顶端能达到5.7米高的墙头吗?
如图,△ABC中,∠ACB=90°,AC=24,BC=7,点M, N在AB上,且AM=AC, BN=BC,则MN的长为( )
A. 4 B. 5 C. 6 D. 7
估计的值在( )
A. 2和3之间 B. 3和4之间 C. 4和5之间 D. 5和6之间
已知△ABC≌△DEF,在△ABC中,∠A∶∠B∶∠C=4∶3∶2,,则∠E=__________.
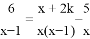
当k为何值时,分式方程 有增根?