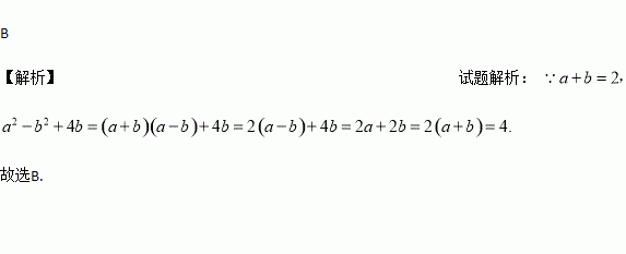
题目内容
已知a+b=2,求代数式a2﹣b2+4b的值为( )
A. 8 B. 4 C. ﹣4 D. ﹣8
如图,在正方形网格中,一条圆弧经过, , 三点,那么这条圆弧所在圆的圆心是( ).
A. 点 B. 点 C. 点 D. 点
一次函数与的图象的交点坐标是__________.当__________时, .
已知a+b=3,ab=﹣1,求下列代数式的值.
(1)a2+b2;(2)(a﹣b)2.
因式分解:x2﹣6x+9=_____,x2﹣4=_____.
估计的大小在( )
A. 2与3之间 B. 3与4之间 C. 4与5之间 D. 5与6之间
已知:如图,在矩形ABCD中,AD=6㎝,AB=3㎝。在直角梯形中EFGH中 ,EH∥FG ,∠EFG=,∠G=,EH=6㎝,HG=3㎝。B、C、F、G同在一条直线上。当F、C两点重合时,矩形ABCD以1㎝/秒的速度沿直线按箭头所示的方向匀速平移, 秒后,矩形ABCD与梯形EFGH重合部分的面积为㎝。按要求回答下列各题(不要求写出解题过程):
(1)当时, cm2(如图①);
当时, cm2(如图④);
(2)在下列各种情况下,分别用表示:
如图①,当时, cm2;
如图②,当时, cm2;
如图③,当时, cm2;
如图⑤,当时, cm2.
若0,则________。
解方程
(1)x2+10x+9=0;
(2)(x+3)2=(1﹣2x)2.