ÌâÄ¿ÄÚÈÝ
ÔÚ¡÷ABCÖУ¬¡ÏA=90°£¬AB=4£¬AC=3£¬MÊÇABÉϵ͝µã£¨²»ÓëA£¬BÖØºÏ£©£¬¹ýMµã×÷MN¡ÎBC½»ACÓÚµãN£®ÒÔMNΪֱ¾¶×÷¡ÑO£¬²¢ÔÚ¡ÑOÄÚ×÷ÄÚ½Ó¾ØÐÎAMPN£®ÁîAM=x£®£¨1£©Óú¬xµÄ´úÊýʽ±íʾ¡÷MNPµÄÃæ»ýS£»
£¨2£©µ±xΪºÎֵʱ£¬¡ÑOÓëÖ±ÏßBCÏàÇУ»
£¨3£©ÔÚ¶¯µãMµÄÔ˶¯¹ý³ÌÖУ¬¼Ç¡÷MNPÓëÌÝÐÎBCNMÖØºÏµÄÃæ»ýΪy£¬ÊÔÇóy¹ØÓÚxµÄº¯Êý±í´ïʽ£¬²¢ÇóxΪºÎֵʱ£¬yµÄÖµ×î´ó£¬×î´óÖµÊǶàÉÙ£¿
¡¾´ð°¸¡¿·ÖÎö£º£¨1£©ÓÉÓÚÈý½ÇÐÎPMNºÍAMNµÄÃæ»ýÏ൱£¬ÄÇô¿Éͨ¹ýÇóÈý½ÇÐÎAMNµÄÃæ»ýÀ´µÃ³öÈý½ÇÐÎPMNµÄÃæ»ý£¬ÇóÈý½ÇÐÎAMNµÄÃæ»ý¿É¸ù¾ÝÈý½ÇÐÎAMNºÍABCÏàËÆ£¬¸ù¾ÝÏàËÆ±ÈµÄƽ·½µÈÓÚÃæ»ý±ÈÀ´µÃ³öÈý½ÇÐÎAMNµÄÃæ»ý£»
£¨2£©µ±Ô²OÓëBCÏàÇÐʱ£¬Oµ½BCµÄ¾àÀë¾ÍÊÇMNµÄÒ»°ë£¬ÄÇô¹Ø¼üÊÇÇó³öMNµÄ±í´ïʽ£¬¿É¸ù¾ÝÈý½ÇÐÎAMNºÍÈý½ÇÐÎABCÏàËÆ£¬µÃ³öMNµÄ±í´ïʽ£¬Ò²¾ÍÇó³öÁËOµ½BCµÄ¾àÀëµÄ±í´ïʽ£¬Èç¹û¹ýM×÷MQ¡ÍBCÓÚQ£¬ÄÇôMQ¾ÍÊÇOµ½BCµÄ¾àÀ룬ȻºóÔÚÖ±½ÇÈý½ÇÐÎBMQÖУ¬ÓáÏBµÄÕýÏÒº¯ÊýÒÔ¼°BMµÄ±í´ïʽ±íʾ³öMQ£¬È»ºóÈÃÕâÁ½±íʾMQµÄº¬xµÄ±í´ïʽÏàµÈ£¬¼´¿ÉÇó³öxµÄÖµ£»
£¨3£©ÒªÇóÖØºÏ²¿·ÖµÄÃæ»ýÊ×ÏÈ¿´PµãÔÚÈý½ÇÐÎABCÄÚ²¿»¹ÊÇÍâÃæ£¬Òò´Ë¿ÉÏȵóöÕâÁ½ÖÖÇé¿öµÄ·Ö½çÏß¼´µ±PÂäµ½BCÉÏʱ£¬xµÄȡֵ£¬ÄÇôPÂäµãBCÉÏʱ£¬MN¾ÍÊÇÈý½ÇÐÎABCµÄÖÐλÏߣ¬´ËʱAM=2£¬Òò´Ë¿É·ÖÁ½ÖÖÇé¿ö½øÐÐÌÖÂÛ£º
¢Ùµ±0£¼x¡Ü2ʱ£¬´ËÊ±ÖØºÏ²¿·ÖµÄÃæ»ý¾ÍÊÇÈý½ÇÐÎPMNµÄÃæ»ý£¬Èý½ÇÐÎPMNµÄÃæ»ý£¨1£©ÖÐÒѾÇó³ö£¬¼´¿ÉµÄx£¬yµÄº¯Êý¹ØÏµÊ½£®¢Úµ±2£¼x£¼4ʱ£¬Èç¹ûÉèPM£¬PN½»BCÓÚE£¬F£¬ÄÇÃ´ÖØºÏ²¿·Ö¾ÍÊÇËıßÐÎMEFN£¬¿Éͨ¹ýÈý½ÇÐÎPMNµÄÃæ»ý-Èý½ÇÐÎPEFµÄÃæ»ýÀ´ÇóÖØºÏ²¿·ÖµÄÃæ»ý£®²»ÄѵóöPN=AM=x£¬¶øËıßÐÎBMNFÓÖÊǸöƽÐÐËıßÐΣ¬¿ÉµÃ³öFN=BM£¬Ò²¾ÍÓÐÁËFNµÄ±í´ïʽ£¬¾Í¿ÉÒÔÇó³öPFµÄ±í´ïʽ£¬È»ºó²ÎÕÕ£¨1£©µÄ·½·¨¿ÉÇó³öÈý½ÇÐÎPEFµÄÃæ»ý£¬¼´¿ÉÇó³öËıßÐÎMEFNµÄÃæ»ý£¬Ò²¾ÍµÃ³öÁËy£¬xµÄº¯Êý¹ØÏµÊ½£®È»ºó¸ù¾ÝÁ½ÖÖÇé¿öµÃ³öµÄº¯ÊýµÄÐÔÖÊ£¬ÒÔ¼°¶ÔÓ¦µÄ×Ô±äÁ¿µÄȡֵ·¶Î§Çó³öyµÄ×î´óÖµ¼´¿É£®
½â´ð£º½â£º£¨1£©¡ßMN¡ÎBC£¬
¡à¡ÏAMN=¡ÏB£¬¡ÏANM=¡ÏC£®
¡à¡÷AMN¡×¡÷ABC£®
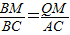
¡à
£¬¼´
£»
¡àAN=
x£»
¡àS=S¡÷MNP=S¡÷AMN=
•
x•x=
x2£®£¨0£¼x£¼4£©
£¨2£©Èçͼ2£¬ÉèÖ±ÏßBCÓë¡ÑOÏàÇÐÓÚµãD£¬Á¬½ÓAO£¬OD£¬ÔòAO=OD=
MN£®
ÔÚRt¡÷ABCÖУ¬BC=
=5£»
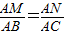
ÓÉ£¨1£©Öª¡÷AMN¡×¡÷ABC£¬
¡à
£¬¼´
£¬
¡àMN=
x
¡àOD=
x£¬
¹ýMµã×÷MQ¡ÍBCÓÚQ£¬ÔòMQ=OD=
x£¬
ÔÚRt¡÷BMQÓëRt¡÷BCAÖУ¬¡ÏBÊǹ«¹²½Ç£¬
¡à¡÷BMQ¡×¡÷BCA£¬
¡à
£¬
¡àBM=
x£¬AB=BM+MA=
x+x=4
¡àx=
£¬
¡àµ±x=
ʱ£¬¡ÑOÓëÖ±ÏßBCÏàÇУ»

£¨3£©ËæµãMµÄÔ˶¯£¬µ±PµãÂäÔÚÖ±ÏßBCÉÏʱ£¬Á¬½ÓAP£¬ÔòOµãΪAPµÄÖе㣮
¡ßMN¡ÎBC£¬
¡à¡ÏAMN=¡ÏB£¬¡ÏAOM=¡ÏAPB£¬
¡à¡÷AMO¡×¡÷ABP£¬
¡à
£¬
¡ßAM=MB=2£¬
¹ÊÒÔÏ·ÖÁ½ÖÖÇé¿öÌÖÂÛ£º
¢Ùµ±0£¼x¡Ü2ʱ£¬y=S¡÷PMN=
x2£¬
¡àµ±x=2ʱ£¬y×î´ó=
×4=
£¬
¢Úµ±2£¼x£¼4ʱ£¬ÉèPM£¬PN·Ö±ð½»BCÓÚE£¬F£¬
¡ßËıßÐÎAMPNÊǾØÐΣ¬
¡àPN¡ÎAM£¬PN=AM=x£¬
ÓÖ¡ßMN¡ÎBC£¬
¡àËıßÐÎMBFNÊÇÆ½ÐÐËıßÐΣ»
¡àFN=BM=4-x£¬
¡àPF=x-£¨4-x£©=2x-4£¬
ÓÖ¡ß¡÷PEF¡×¡÷ACB£¬
¡à
£¬
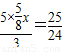
¡àS¡÷PEF=
£¨x-2£©2£»
y=S¡÷MNP-S¡÷PEF=
x2-
£¨x-2£©2=-
x2+6x-6£¬
µ±2£¼x£¼4ʱ£¬y=-
x2+6x-6=-
£¨x-
£©2+2£¬
¡àµ±x=
ʱ£¬Âú×ã2£¼x£¼4£¬y×î´ó=2£®
×ÛÉÏËùÊö£¬µ±x=
ʱ£¬yÖµ×î´ó£¬×î´óÖµÊÇ2£®
µãÆÀ£º±¾ÌâÖ÷Òª¿¼²éÁËÏàËÆÈý½ÇÐεÄÐÔÖÊÒÔ¼°¶þ´Îº¯ÊýµÄ×ÛºÏÓ¦Óã¬Òª×¢Ò⣨3£©ÖÐÒª¸ù¾ÝPµãµÄλÖõIJ»Í¬·ÖÇé¿ö½øÐÐÌÖÂÛ£¬²»ÒªÂ©½â£®
£¨2£©µ±Ô²OÓëBCÏàÇÐʱ£¬Oµ½BCµÄ¾àÀë¾ÍÊÇMNµÄÒ»°ë£¬ÄÇô¹Ø¼üÊÇÇó³öMNµÄ±í´ïʽ£¬¿É¸ù¾ÝÈý½ÇÐÎAMNºÍÈý½ÇÐÎABCÏàËÆ£¬µÃ³öMNµÄ±í´ïʽ£¬Ò²¾ÍÇó³öÁËOµ½BCµÄ¾àÀëµÄ±í´ïʽ£¬Èç¹û¹ýM×÷MQ¡ÍBCÓÚQ£¬ÄÇôMQ¾ÍÊÇOµ½BCµÄ¾àÀ룬ȻºóÔÚÖ±½ÇÈý½ÇÐÎBMQÖУ¬ÓáÏBµÄÕýÏÒº¯ÊýÒÔ¼°BMµÄ±í´ïʽ±íʾ³öMQ£¬È»ºóÈÃÕâÁ½±íʾMQµÄº¬xµÄ±í´ïʽÏàµÈ£¬¼´¿ÉÇó³öxµÄÖµ£»
£¨3£©ÒªÇóÖØºÏ²¿·ÖµÄÃæ»ýÊ×ÏÈ¿´PµãÔÚÈý½ÇÐÎABCÄÚ²¿»¹ÊÇÍâÃæ£¬Òò´Ë¿ÉÏȵóöÕâÁ½ÖÖÇé¿öµÄ·Ö½çÏß¼´µ±PÂäµ½BCÉÏʱ£¬xµÄȡֵ£¬ÄÇôPÂäµãBCÉÏʱ£¬MN¾ÍÊÇÈý½ÇÐÎABCµÄÖÐλÏߣ¬´ËʱAM=2£¬Òò´Ë¿É·ÖÁ½ÖÖÇé¿ö½øÐÐÌÖÂÛ£º
¢Ùµ±0£¼x¡Ü2ʱ£¬´ËÊ±ÖØºÏ²¿·ÖµÄÃæ»ý¾ÍÊÇÈý½ÇÐÎPMNµÄÃæ»ý£¬Èý½ÇÐÎPMNµÄÃæ»ý£¨1£©ÖÐÒѾÇó³ö£¬¼´¿ÉµÄx£¬yµÄº¯Êý¹ØÏµÊ½£®¢Úµ±2£¼x£¼4ʱ£¬Èç¹ûÉèPM£¬PN½»BCÓÚE£¬F£¬ÄÇÃ´ÖØºÏ²¿·Ö¾ÍÊÇËıßÐÎMEFN£¬¿Éͨ¹ýÈý½ÇÐÎPMNµÄÃæ»ý-Èý½ÇÐÎPEFµÄÃæ»ýÀ´ÇóÖØºÏ²¿·ÖµÄÃæ»ý£®²»ÄѵóöPN=AM=x£¬¶øËıßÐÎBMNFÓÖÊǸöƽÐÐËıßÐΣ¬¿ÉµÃ³öFN=BM£¬Ò²¾ÍÓÐÁËFNµÄ±í´ïʽ£¬¾Í¿ÉÒÔÇó³öPFµÄ±í´ïʽ£¬È»ºó²ÎÕÕ£¨1£©µÄ·½·¨¿ÉÇó³öÈý½ÇÐÎPEFµÄÃæ»ý£¬¼´¿ÉÇó³öËıßÐÎMEFNµÄÃæ»ý£¬Ò²¾ÍµÃ³öÁËy£¬xµÄº¯Êý¹ØÏµÊ½£®È»ºó¸ù¾ÝÁ½ÖÖÇé¿öµÃ³öµÄº¯ÊýµÄÐÔÖÊ£¬ÒÔ¼°¶ÔÓ¦µÄ×Ô±äÁ¿µÄȡֵ·¶Î§Çó³öyµÄ×î´óÖµ¼´¿É£®
½â´ð£º½â£º£¨1£©¡ßMN¡ÎBC£¬
¡à¡ÏAMN=¡ÏB£¬¡ÏANM=¡ÏC£®
¡à¡÷AMN¡×¡÷ABC£®
¡à
¡àAN=
¡àS=S¡÷MNP=S¡÷AMN=
£¨2£©Èçͼ2£¬ÉèÖ±ÏßBCÓë¡ÑOÏàÇÐÓÚµãD£¬Á¬½ÓAO£¬OD£¬ÔòAO=OD=
ÔÚRt¡÷ABCÖУ¬BC=
ÓÉ£¨1£©Öª¡÷AMN¡×¡÷ABC£¬
¡à
¡àMN=
¡àOD=
¹ýMµã×÷MQ¡ÍBCÓÚQ£¬ÔòMQ=OD=
ÔÚRt¡÷BMQÓëRt¡÷BCAÖУ¬¡ÏBÊǹ«¹²½Ç£¬
¡à¡÷BMQ¡×¡÷BCA£¬
¡à
¡àBM=
¡àx=
¡àµ±x=
£¨3£©ËæµãMµÄÔ˶¯£¬µ±PµãÂäÔÚÖ±ÏßBCÉÏʱ£¬Á¬½ÓAP£¬ÔòOµãΪAPµÄÖе㣮
¡ßMN¡ÎBC£¬
¡à¡ÏAMN=¡ÏB£¬¡ÏAOM=¡ÏAPB£¬
¡à¡÷AMO¡×¡÷ABP£¬
¡à
¡ßAM=MB=2£¬
¹ÊÒÔÏ·ÖÁ½ÖÖÇé¿öÌÖÂÛ£º
¢Ùµ±0£¼x¡Ü2ʱ£¬y=S¡÷PMN=
¡àµ±x=2ʱ£¬y×î´ó=
¢Úµ±2£¼x£¼4ʱ£¬ÉèPM£¬PN·Ö±ð½»BCÓÚE£¬F£¬
¡ßËıßÐÎAMPNÊǾØÐΣ¬
¡àPN¡ÎAM£¬PN=AM=x£¬
ÓÖ¡ßMN¡ÎBC£¬
¡àËıßÐÎMBFNÊÇÆ½ÐÐËıßÐΣ»
¡àFN=BM=4-x£¬
¡àPF=x-£¨4-x£©=2x-4£¬
ÓÖ¡ß¡÷PEF¡×¡÷ACB£¬
¡à
¡àS¡÷PEF=
y=S¡÷MNP-S¡÷PEF=
µ±2£¼x£¼4ʱ£¬y=-
¡àµ±x=
×ÛÉÏËùÊö£¬µ±x=
µãÆÀ£º±¾ÌâÖ÷Òª¿¼²éÁËÏàËÆÈý½ÇÐεÄÐÔÖÊÒÔ¼°¶þ´Îº¯ÊýµÄ×ÛºÏÓ¦Óã¬Òª×¢Ò⣨3£©ÖÐÒª¸ù¾ÝPµãµÄλÖõIJ»Í¬·ÖÇé¿ö½øÐÐÌÖÂÛ£¬²»ÒªÂ©½â£®
Á·Ï°²áϵÁдð°¸
Ïà¹ØÌâÄ¿
ÔÚ¡÷ABCÖУ¬¡ÏC=90¡ã£¬BC=12£¬AB=13£¬ÔòtanAµÄÖµÊÇ£¨¡¡¡¡£©
A¡¢
| ||
B¡¢
| ||
C¡¢
| ||
D¡¢
|
ÔÚ¡÷ABCÖУ¬a=
£¬b=
£¬c=2
£¬Ôò×î´ó±ßÉϵÄÖÐÏß³¤Îª£¨¡¡¡¡£©
| 2 |
| 6 |
| 2 |
A¡¢
| ||
B¡¢
| ||
| C¡¢2 | ||
| D¡¢ÒÔÉ϶¼²»¶Ô |