题目内容
点P为直线ι外一点,点A、B、C为直线ι上三点,PA =4cm,PB=5cm,PC=2cm,则点P到直线ι的距离为( )
A.4cm B.5cm C. 小于2cm D. 不大于2cm
移动公司推出两种话费套餐,套餐一:每月收取月租34元后,送50分钟的通话时间,超过50分钟的部分每分钟收费0.2元,并约定每月最低消费40元(当月通话费用不足40元,一律按40元收取);套餐二:每月没有最低消费,但每分钟均收取0.4元的通话费用.若分别用y1,y2(单位:元)表示套餐一、套餐二的通话费用,用x(单位:分钟)表示每个月的通话时间.
(1)分别求出y1,y2关于x的函数表达式;
(2)在如图所示的平面直角坐标系中,画出这两个函数的图象,并直接写出这两个函数图象的交点坐标;
(3)①结合图象,如何选择话费套餐才可使每月支付的通话费用较少?
②若小亮的爸爸这个月的通话费用是64元,求使用两种套餐的通话时间相差多少分钟.
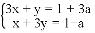
若方程组的解满足x+y=0,则a的取值是( )
A. a=-1 B. a=1 C. a=0 D. 不能确定
已知一组数据有40个,把它分成六组,第一组到第四组的频数分别是10,5,7,6,第五组的频率是0.2,则第六组的频率是 .
将一张长方形纸片如图所示折叠后,再展开,如果∠1=56°,那么∠2等于( )
A. 56° B. 68° C. 62° D. 66°
如图,在△ABC中,AC=BC,AD平分∠BAC,∠ADC=60°,求∠C的度数.
如图,在等腰三角形纸片ABC中,AB=AC,∠A=40°,折叠该纸片,使点A落在点B处,折痕为DE,则∠CBE= °.
如图,在△ABC中,∠A=90°, D是AB边上一点,且DB=DC,过BC上一点P(不包括B,C二点)作PE⊥AB,垂足为点E, PF⊥CD,垂足为点F,已知AD:DB=1:4,BC= ,求PE+PF的长.
如图,某同学把一块三角形的玻璃打碎成了三块,现在要到玻璃店去配一块完全一样的玻璃,那么最省事的办法是: ( )
A. 带①去 B. 带②去 C. 带③去 D. 带①和②