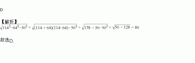
题目内容
计算之值为何?( )
A. 0 B. 25 C. 50 D. 80
一种竹制躺椅如图①所示,其侧面示意图如图②③所示,这种躺椅可以通过改变支撑杆CD的位置来调节躺椅舒适度.假设AB所在的直线为地面,已知AE=120 cm,当把图②中的支撑杆CD调节至图③中的C′D的位置时,∠EAB由20°变为25°.
(1)你能求出调节后该躺椅的枕部E到地面的高度增加了多少吗?(结果精确到0.1 cm,参考数据:sin 20°≈0.342 0,sin 25°≈0.422 6)
(2)已知点O为AE的一个三等分点,根据人体工程学,当点O到地面的距离为26 cm时,人体感觉最舒适.请你求出此时枕部E到地面的高度.
已知:关于x的方程x2﹣(2m+1)x+2m=0
(1)求证:方程一定有两个实数根;
(2)若方程的两根为x1,x2,且|x1|=|x2|,求m的值.
已知x=2+,y=2-,求 - 的值.
计算二次根式5-3-7+9的最后结果是________.
已知a=,求+的值.
已知x=1+,y=1-,则代数式的值为( )
A. 2 B. ±2 C. 4 D.
如图,MN⊥AB,垂足为M点,MN交CD于N,过M点作MG⊥CD,垂足为G,EF 过点N点,且EF∥AB,交MG于H点,其中线段GM的长度是________到________的距离, 线段MN的长度是________到________的距离,又是_______的距离,点N到直线MG 的距离是___.
直线CD∥EF,若OC=3,CE=4,则的值是 .