题目内容
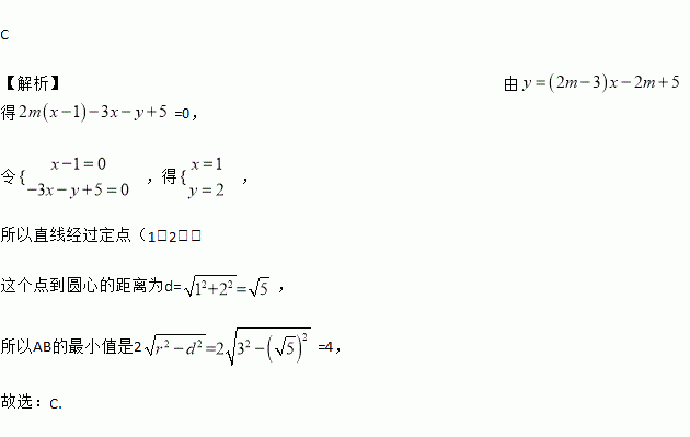
平面直角坐标系中,直线与以坐标原点为圆心的⊙O交于两点,⊙O的半径为3,则最小值为 ( )
A. B. 3 C. 4 D.
在墙壁上固定一根横放的木条,则至少需要钉子的枚数是( )
A. 1枚 B. 2枚 C. 3枚 D. 任意枚
因式分【解析】 =_______.
(12分)(2017·黄冈)已知:如图,一次函数y=-2x+1与反比例函数y=的图象有两个交点A(-1,m)和B,过点A作AE⊥x轴,垂足为E;过点B作BD⊥y轴,垂足为点D,且点D的坐标为(0,-2),连结DE.
(1)求k的值;
(2)求四边形AEDB的面积.
如图,正三角形的内切圆半径为2,那么这个正三角形的边长为____________.
下列运算正确的是( )
A. B.
C. D.
如图1,在△ABC中,∠BAC=90°,点D在AC上,点E在BA的延长线上,连接BD,CE,AD=AE,BD=CE.
(1)若BD=,AD=1,求BC的长度;
(2)将图1中的BD延长,过点A作AF∥BC交BD延长线于点F,如图2,连接FC,若BC=BF,求证:CD=CF.
已知a=4,b=﹣1,则代数式2a﹣b﹣3的值为( )
A. 4 B. 6 C. 7 D. 12
=____