题目内容
13g锌与100g稀硫酸恰好完全反应,求:
(1)稀硫酸中溶质的质量分数.
(2)反应后所得溶液中溶质的质量分数.
(1)稀硫酸中溶质的质量分数.
(2)反应后所得溶液中溶质的质量分数.
解:设参加反应的硫酸的质量为x,生成硫酸锌的质量为y,生成氢气的质量为z
Zn+H2SO4=ZnSO4+H2↑
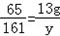
65 98 161 2
13g x y z
(1)
x=19.6g
100%=19.6%.
(2)
y=32.2g
z=0.4g
反应后所得溶液中溶质的质量分数为:
100%=28.6%.
答:(1)稀硫酸中溶质的质量分数为19.6%;
(2)反应后所得溶液中溶质的质量分数为28.6%.
Zn+H2SO4=ZnSO4+H2↑
65 98 161 2
13g x y z
(1)
x=19.6g
(2)
y=32.2g
z=0.4g
反应后所得溶液中溶质的质量分数为:
答:(1)稀硫酸中溶质的质量分数为19.6%;
(2)反应后所得溶液中溶质的质量分数为28.6%.
练习册系列答案
相关题目