题目内容
下图表示用上述配制的氢氧化钠溶液与20g某稀盐酸发生反应后溶液温度的变化情况。
![]()
①根据曲线判断,当加入氢氧化钠溶液的质量为________时,反应恰好完全进行。
②当加入15g氢氧化钠溶液时,所得溶液中的溶质为________(写化学式)。
③试计算该稀盐酸中溶质的质量分数(请写出计算过程)。
②当加入15g氢氧化钠溶液时,所得溶液中的溶质为________(写化学式)。
③试计算该稀盐酸中溶质的质量分数(请写出计算过程)。
①20g
②HCl、NaCl
③解:20g氢氧化钠溶液中NaOH的质量:20g×8%=1.6g
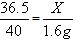
设该稀盐酸中HCl的质量为X
HCl+NaOH==NaCl+H2O
36.5 40
X 1.6g
;X=1.46g
稀盐酸的质量分数:
答:该稀盐酸中溶质的质量分数为7.3%
②HCl、NaCl
③解:20g氢氧化钠溶液中NaOH的质量:20g×8%=1.6g
设该稀盐酸中HCl的质量为X
HCl+NaOH==NaCl+H2O
36.5 40
X 1.6g
稀盐酸的质量分数:
答:该稀盐酸中溶质的质量分数为7.3%
练习册系列答案
相关题目