28、如图,重100N的物体,以0.1米/秒的速度在水平面上作匀速直线运动,作用在绳自由端的拉力F是20N,则在10秒种内拉力F做的功为 J,拉力F的功率为 W(不计滑轮及绳重,不计绳与滑轮间的摩擦)
![]()
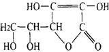
27、小李同学在学习了有关维生素的知识后,自制了一张《维生素C》知识小卡片,但不完整,请你帮他填写表中空格的内容。
|
《维生素C》知识小卡片 |
|||
|
分子结构 |
|
化学式 |
|
|
Vc的性质 |
能溶于水,在加热或碱性环境中易被氧化而破坏 |
||
|
Vc的存在 |
绿色蔬菜(如黄瓜、生菜)、水果(如柑橘) |
||
|
食用黄瓜时注意事项 |
|
25、如图3所示,物体 A 和 B 所受重力都为120N,滑轮重力不计。当分别用力匀速提升物体A和B时,FA为 N,FB为 N。
![]()
![]()
![]()
|
|
(1)血流通过B段毛细血管时,血液中氧气与血红
|
|
|
|
的毛细血管?______ _____
24、今年4月26日,2008年奥运会火炬“祥云”(如图示)的发布仪式在北京举行。“祥云”不仅有着完美的外表,而且由于高科技的运用,大风、大雨天气都能正常燃烧。它采用的燃料是丙烷(化学式为C3H8),符合“绿色奥运”的要求。试回答下列问题:
(1)丙烷属于 (填“无机物”或“有机物”)
(2)丙烷分子中,氢、碳两元素的质量之比为 。(最 简整数比)
|
为 ,所用燃料符合“绿色奥运”的要求。
19、下表记录了物质X的溶液分别加入到另外三种物质的溶液中产生的现象。则物质X的化学式可能是
|
|
氢氧化钠 |
碳酸钠 |
石蕊 |
|
物质X |
无明显现象 |
产生气泡 |
溶液变红 |
A.Ca(OH)2 B.CuSO4 C.HCl D.NaCl