题目内容
由静止开始做匀加速直线运动,加速度为a;经过t秒后又以同样大小的加速度做匀减速直线运动,最后停止.则汽车在做匀加速直线运动和匀减速直线运动的两个过程中,下列物理量中相同的是( )A.位移
B.加速度
C.经历时间
D.平均速度
【答案】分析:由速度和时间的关系,位移和时间关系列出方程可得出所求的物理量.
解答:解:设物体运动方向为正方向,已知初速度v=0,加速过程加速度为a,时间为t,减速过程加速度为-a
物体匀加速过程:v=at
设减速到末速度为零所用时间为t2,而末速度v2=0,由v2=v-at2
得:t2=t 故C正确.
A、加速过程位移
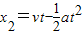
,减速过程位移
=
,所以x1=x2,故A正确.
B、两个过程加速度大小相等,方向相反,所以加速度不同.故B错.
D、因为两过程位移相同,时间相等,所以平均速度相同.故D正确.
故选:ACD
点评:在解决末速度为零的匀减速直线运动过程中,我们可以用逆过程来处理,比如:此题第二过程相当于反方向,初速度为零的匀加速直线运动.
解答:解:设物体运动方向为正方向,已知初速度v=0,加速过程加速度为a,时间为t,减速过程加速度为-a
物体匀加速过程:v=at
设减速到末速度为零所用时间为t2,而末速度v2=0,由v2=v-at2
得:t2=t 故C正确.
A、加速过程位移
B、两个过程加速度大小相等,方向相反,所以加速度不同.故B错.
D、因为两过程位移相同,时间相等,所以平均速度相同.故D正确.
故选:ACD
点评:在解决末速度为零的匀减速直线运动过程中,我们可以用逆过程来处理,比如:此题第二过程相当于反方向,初速度为零的匀加速直线运动.
练习册系列答案
相关题目