题目内容
甲、乙两个做匀速圆周运动的卫星,角速度和线速度分别为ω1、ω2和v1、v2,如果它们的轨道半径之比R1:R2=1:2,则下列说法中正确的是( )A.
B.ω1:ω2=2:1
C.
D.
【答案】分析:根据人造卫星的万有引力等于向心力,列式求出线速度、角速度的表达式进行讨论即可.
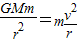
解答:解:A、B:因为万有引力等于向心力,据
,则
,由于R1:R2=1:2,所以有
,故A正确,B错误.
C、D:因为
,则
,由于R1:R2=1:2,所以
,故C正确,D错误.
故选AC.
点评:本题关键抓住万有引力提供向心力,列式求解出线速度、角速度的表达式,再进行讨论.难度不大.
解答:解:A、B:因为万有引力等于向心力,据
C、D:因为
故选AC.
点评:本题关键抓住万有引力提供向心力,列式求解出线速度、角速度的表达式,再进行讨论.难度不大.
练习册系列答案
相关题目
甲、乙两个做匀速圆周运动的质点,它们的角速度之比为3:1,线速度之比2:3,那么下列说法中正确的是( )
| A、它们的半径之比是2:9 | B、它们的周期之比是1:3 | C、它们的转速之比是3:2 | D、它们的加速度之比是2:1 |