题目内容

如图所示,半径为R的水平圆板绕竖直轴做匀速圆周运动,当半径OB转到某一方向时,在圆板中心正上方h处以平行于OB方向水平抛出一小球,小球抛出时的速度及圆板转动的角速度各为多大时,小球与圆板只碰一次,且相碰点为B?

答案:
解析:

(k=123……)

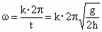
小球的运动时间则小球的抛出速度由题意知,圆板转动的角速度为(k=123……)


练习册系列答案
相关题目

违法和不良信息举报电话:027-86699610 举报邮箱:58377363@163.com

精英家教网