题目内容
高速公路给人们出行带来了方便,但是因为在高速公路上行驶的车辆速度大,雾天往往出现十几辆车追尾连续相撞的车祸.汽车在沪宁高速公路正常行驶速率为120km/h,汽车刹车产生的最大加速度为8m/s2,大雾天关闭高速公路.如果某天有薄雾,能见度约为37m,为安全行驶,避免追尾连续相撞,汽车行驶的最大速度为多少?(设司机反应时间为0.6s).
【答案】分析:汽车在反应时间内做匀速直线运动,根据匀速直线运动的公式x=v0△t求出在反应时间中的位移.
汽车制动后,在和自行车速度相等之前,之间的距离逐渐减小.若在速度相等之前未相撞,则不会相撞,因为速度相等后,之间的距离又逐渐增大,可知判断能否相撞,即判断速度相等时有没有相撞.求出速度相等时,两车的位移,从而确定汽车行驶的最大速度.
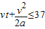
解答:解:设汽车行驶的最大速度为v,则应有:
即:
解得:v≤20m/s.
答:为安全行驶,避免追尾连续相撞,汽车行驶的最大速度为20m/s.
点评:解决本题的关键知道速度大者减速追速度小者,判断是否相撞,只要判断速度相等之时,有无相撞.注意不能通过停下来后的位移关系去判断.
汽车制动后,在和自行车速度相等之前,之间的距离逐渐减小.若在速度相等之前未相撞,则不会相撞,因为速度相等后,之间的距离又逐渐增大,可知判断能否相撞,即判断速度相等时有没有相撞.求出速度相等时,两车的位移,从而确定汽车行驶的最大速度.
解答:解:设汽车行驶的最大速度为v,则应有:
即:
解得:v≤20m/s.
答:为安全行驶,避免追尾连续相撞,汽车行驶的最大速度为20m/s.
点评:解决本题的关键知道速度大者减速追速度小者,判断是否相撞,只要判断速度相等之时,有无相撞.注意不能通过停下来后的位移关系去判断.
练习册系列答案
相关题目