题目内容
在△ABC中,∠C=90°,AC=3,BC=4,CD是斜边AB上的高,点E在斜边AB上,过点E作直线与△ABC的直角边相交于点F,设AE=x,△AEF的面积为y。
(1)求线段AD的长;
(2)若EF⊥AB,当点E在线段AB上移动时,
①求y与x的函数关系式(写出自变量x的取值范围);
②当x取何值时,y有最大值?并求其最大值;
(3)若F在直角边AC上(点F与A、C两点均不重合),点E在斜边AB上移动,试问:是否存在直线EF将△ABC的周长和面积同时平分?若存在直线EF,求出x的值;若不存在直线EF,请说明理由。
(1)求线段AD的长;
(2)若EF⊥AB,当点E在线段AB上移动时,
①求y与x的函数关系式(写出自变量x的取值范围);
②当x取何值时,y有最大值?并求其最大值;
(3)若F在直角边AC上(点F与A、C两点均不重合),点E在斜边AB上移动,试问:是否存在直线EF将△ABC的周长和面积同时平分?若存在直线EF,求出x的值;若不存在直线EF,请说明理由。
解:(1)∵AC=3,BC=4
∴AB=5
∵
AC·BC=
AB·CD,
∴CD=
,AD=
;
(2)①当0<x≤
时
∵EF∥CD
∴△AEF∽△ADC
∴
即EF=
x
∴y=
·x·
x=
当
<x≤5时
易得△BEF∽△BDC,同理可求EF=
(5-x)
∴y=
·x·
(5-x)=
≤
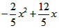
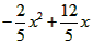
②当0<x≤
时,y随x的增大而增大,
,即当x=
时,y最大值为
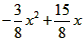
当
<x≤5时,
∵
∴当
时,y的最大值为
∵
<
∴当
时,y的最大值为
;
(3)假设存在 当0<x≤5时,AF=6-x
∴0<6-x<3
∴3<x<6
∴3<x≤5
作FG⊥AB与点G 由△AFG∽△ACD可得
∴
,即FG=
∴
x·
=
∴
=3,即2x2-12x+5=0
解之得
,
∵3<x1≤5
∴x1=
符合题意
∵x2=
<3
∴x2不合题意,应舍去
∴存在这样的直线EF,此时,x=
。
∴AB=5
∵
∴CD=
(2)①当0<x≤
∵EF∥CD
∴△AEF∽△ADC
∴
即EF=
∴y=
当
易得△BEF∽△BDC,同理可求EF=
∴y=
②当0<x≤
当
∵
∴当
∵
∴当
(3)假设存在 当0<x≤5时,AF=6-x
∴0<6-x<3
∴3<x<6
∴3<x≤5
作FG⊥AB与点G 由△AFG∽△ACD可得
∴
∴
∴
解之得
∵3<x1≤5
∴x1=
∵x2=
∴x2不合题意,应舍去
∴存在这样的直线EF,此时,x=
练习册系列答案
相关题目
在△ABC中,∠C=90°,BC=12,AB=13,则tanA的值是( )
A、
| ||
B、
| ||
C、
| ||
D、
|
在△ABC中,a=
,b=
,c=2
,则最大边上的中线长为( )
| 2 |
| 6 |
| 2 |
A、
| ||
B、
| ||
| C、2 | ||
| D、以上都不对 |