题目内容
如图,在平面直角坐标系中,已知点B(-2
,0),A(m,0)(-
<m<0),以AB为边在x轴下方作正方形ABCD,点E是线段OD与正方形ABCD的外接圆除点D以外的另一个交点,连接BE与AD相交于点F。
![]()
(1)求证:BF=DO;
(2)设直线l是△BDO的边BO的垂直平分线,且与BE相交于点G,若G是△BDO的外心,试求经过B、F、O三点的抛物线的解析表达式;
(3)在(2)的条件下,在抛物线上是否存在点P,使该点关于直线BE的对称点在x轴上?若存在,求出所有这样的点的坐标;若不存在,请说明理由。
(2)设直线l是△BDO的边BO的垂直平分线,且与BE相交于点G,若G是△BDO的外心,试求经过B、F、O三点的抛物线的解析表达式;
(3)在(2)的条件下,在抛物线上是否存在点P,使该点关于直线BE的对称点在x轴上?若存在,求出所有这样的点的坐标;若不存在,请说明理由。
解:(1)在
和
中,
∵四边形
是正方形
∴
又∵
∴
∴
。
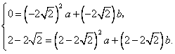
(2)由(1)得,
∵
∴点
∵G是
的外心
∴点G在DO的垂直平分线上
∴点B也在DO的垂直平分线上
∴
为等腰三角形,
而
∴
∴
∴
设经过
三点的抛物线的解析表达式为
①
∵抛物线过点
∴
∴
把点
,
的坐标代入①中,得

即
解得
抛物线的解析表达式为
②。
(3)假定在抛物线上存在一点P,使点P关于直线BE的对称点
在x轴上
∵BE是
的平分线
∴x轴上的点
关于直线BE的对称点P必在直线BD上,
即点P是抛物线与直线BD的交点.
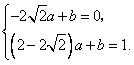
设直线BD的解析表达式为
,并设直线BD与y轴交于点Q
,则由
是等腰直角三角形
∴
,
把点
,
代入
中,得

∴
∴直线BD的解析表达式为
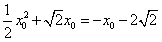
设点
,则有
③
把③代入②,得
∴
,即
∴
解得
或
当
时,
当
时,
∴在抛物线上存在点
,它们关于直线BE的对称点都在x轴上。
∵四边形
∴
又∵
∴
∴
(2)由(1)得,
∵
∴点
∵G是
∴点G在DO的垂直平分线上
∴点B也在DO的垂直平分线上
∴
而
∴
∴
∴
设经过
∵抛物线过点
∴
∴
把点
即
解得
抛物线的解析表达式为
(3)假定在抛物线上存在一点P,使点P关于直线BE的对称点
∵BE是
∴x轴上的点
即点P是抛物线与直线BD的交点.
设直线BD的解析表达式为
,则由
∴
把点
∴
∴直线BD的解析表达式为
设点
把③代入②,得
∴
∴
解得
当
当
∴在抛物线上存在点
练习册系列答案
相关题目