题目内容
已知矩形ABCD,长BC=12cm,宽AB=8cm,P、Q分别是AB、BC上运动的两点。若P自点A出发,以1cm/s的速度沿AB方向运动,同时,Q自点B出发以2cm/s的速度沿BC方向运动,问经过几秒,以P、B、Q为顶点的三角形与△BDC相似?
解:设经x秒后,△PBQ∽△BCD,由于∠PBQ=∠BCD= 90°,
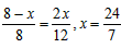
(1)当∠1=∠2时,有:
,
即
;
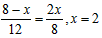
(2)当∠1=∠3时,有:
,
即
,
∴经过
秒或2秒,△PBQ∽△BCD。

(1)当∠1=∠2时,有:
即
(2)当∠1=∠3时,有:
即
∴经过
练习册系列答案
相关题目
点O在矩形ABCD内可随意运动,已知矩形ABCD的长为4,宽为3,则O到点A的距离不超过1的概率是( )
A、
| ||
B、
| ||
C、
| ||
D、1-
|