题目内容
如图所示,在平面直角坐标系中,二次函数y=x2+bx+c的图象与x轴交于A、B两点,A点在原点的左侧,B点的坐标为(3,0),与y轴交于C(0,-3)点,点P是直线BC下方的抛物线上一动点。
(1)求这个二次函数的表达式;
(2)连结PO、PC,并把△POC沿CO翻折,得到四边形POP′C,那么是否存在点P,使四边形POP′C为菱形?若存在,请求出此时点P的坐标;若不存在,请说明理由;
(3)当点P运动到什么位置时,四边形ABPC的面积最大并求出此时P点的坐标和四边形ABPC的最大面积。
(1)求这个二次函数的表达式;
(2)连结PO、PC,并把△POC沿CO翻折,得到四边形POP′C,那么是否存在点P,使四边形POP′C为菱形?若存在,请求出此时点P的坐标;若不存在,请说明理由;
(3)当点P运动到什么位置时,四边形ABPC的面积最大并求出此时P点的坐标和四边形ABPC的最大面积。
| 解:(1)将B、C两点的坐标代入得 所以二次函数的表达式为: |
|
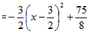
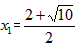
| (2)存在点P,使四边形POP′C为菱形,设P点坐标为(x, PP′交CO于E, 若四边形POP′C是菱形,则有PC=PO, 连结PP′则PE⊥CO于E, ∴OE=EC= ∴ ∴ 解得 ∴P点的坐标为( |
|
| (3)过点P作y轴的平行线与BC交于点Q,与OB交于点F,设P(x, 易得,直线BC的解析式为y=x-3, 则Q点的坐标为(x,x-3), 当 |
练习册系列答案
相关题目