在○里填上>、=、<.
3
10
8
7
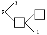
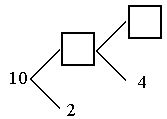
在□里填上合适的数.
说一说小动物的位置.
1
2
4
5
6
填一填
□>□>□>□>□>□>□
比一比,填一填.
(1)
根据上图在○中填上>、=、<.
(3)
看图填空.
上图中有