1
-[
]|
A .4 |
B . |
|
C .0 |
D . |
怎样简便就怎样算
![]()
[
]|
A .8 |
B .9 |
|
C .17 |
D . |
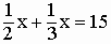
解方程.
![]()
[
]|
A . |
B .18 |
|
C . |
D .2 |
解方程.
![]()
[
]|
A . |
B .18 |
|
C . |
D .2 |
![]()
[
]|
A .1 |
B .4 |
|
C .1 |
D . |
![]()
[
]|
A .1 |
B .4 |
|
C .1 |
D . |
![]()
[
]|
A .1 |
B .4 |
|
C .1 |
D . |
![]()
[
]|
A .1 |
B .4 |
|
C .1 |
D . |
![]()
[
]|
A . |
B .36 |
|
C . |
D .12 |
![]()
[
]|
A . |
B .36 |
|
C . |
D .12 |